锯齿波信号The sawtooth signal
lab里学到的代码和输出,说实话有些不懂但留着以后能翻查
最简单的锯齿波
from scipy import signal
fs= 8000 # sampling frequency
t = np.arange(0, 2, 1/fs)# ... # time vector
f0 = 200 # frequency in Hz for scipy sawtooth
saw_tooth = signal.sawtooth(2 * np.pi * f0 * t)

傅里叶级数和锯齿波

fs=8000 # sampling frequencyt=np.arange(0,2,1/fs) # time vector
f0=2 # fundamental frequency in Hz
sin1=np.sin(2*np.pi*f0*t)
sin2=np.sin(2*np.pi*2*f0*t)/2
sin3=np.sin(2*np.pi*3*f0*t)/3
sin4=np.sin(2*np.pi*4*f0*t)/4
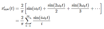
def generateSawTooth(f0=2, length = 2, fs=8000, order=10, height=1):"""Return a saw-tooth signal with given parameters.Parameters----------f0 : float, optionalfundamental frequency $f_0$ of the signal to be generated,default: 1 Hzlength : float, optionallength of the signal to be generated, default: 2 sec.fs : float, optionalsampling frequency $f_s$, default: 8000 Hzorder : int, optionalnumber of sinosuids to approximate saw-tooth, default: 10height : float, optionalheight of saw-tooth, default: 1Returns-------sawToothgenerated sawtooth signaltmatching time vector"""t=np.arange(0,length,1/fs) # time vectorsum = np.zeros(len(t))for ii in range(order):jj=ii+1sum += np.sin(2*np.pi*jj*f0*t)/jjreturn 2*height*sum/np.pi, t# generate a sawtooth signal composed of 10 sinusoids
saw,t = generateSawTooth(order=10)
plt.subplot(2,1,1)
plt.plot(t,saw)
plt.xlabel('time $t$ in seconds');
plt.title('Saw-tooth signal generated from 10 sinusoids')# generate a sawtooth signal composed of 100 sinusoids
saw,t = generateSawTooth(order=100)
plt.subplot(2,1,2)
plt.plot(t,saw)
plt.xlabel('time $t$ in seconds');
plt.title('Saw-tooth signal generated from 10 sinusoids')plt.tight_layout() # this allowes for some space for the title text.

傅里叶级数和锯齿波(time-reverse)

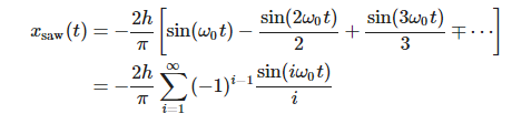
def generateSawTooth2(f0=1, length = 2, fs=8000, order=10, height=1):"""Return a saw-tooth signal with given parameters.Parameters----------f0 : float, optionalfundamental frequency $f_0$ of the signal to be generated,default: 1 Hzlength : float, optionallength of the signal to be generated, default: 2 sec.fs : float, optionalsampling frequency $f_s$, default: 8000 Hzorder : int, optionalnumber of sinosuids to approximate saw-tooth, default: 10Returns-------sawToothgenerated sawtooth signaltmatching time vector"""t=np.arange(0,length,1/fs) # time vectorsawTooth = np.zeros(len(t)) # pre-allocate variable with zeros for ii in range(1,order+1):sign = 2*(ii % 2) - 1# create alternating signsawTooth += np.sin(2*np.pi*ii*f0*t)/ii#print(str(ii)+': adding ' + str(sign) + ' sin(2 $\pi$ '+str(ii*f0)+' Hz t)')return -2*height/np.pi*sawTooth, tf0=1
saw2,t = generateSawTooth2(f0)
plt.plot(t,saw2,label='sawtooth Fourier')
plt.ylabel('$x_{\mathrm{saw}}(t)$')
plt.xlabel('time $t$ in seconds');# compare to the sawtooth signal generated by scipy
saw_scipy = signal.sawtooth(2 * np.pi * f0 * t)plt.plot(t, saw_scipy, '--', label='scipy sawtooth');
plt.legend();

傅里叶级数和三角信号

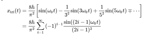
def generateTriangular(f0=2, length = 2, fs=8000, order=10, height=1):"""Return a saw-tooth signal with given parameters.Parameters----------f0 : float, optionalfundamental frequency $f_0$ of the signal to be generated,default: 1 Hzlength : float, optionallength of the signal to be generated, default: 2 sec.fs : float, optionalsampling frequency $f_s$, default: 8000 Hzorder : int, optionalnumber of sinosuids to approximate saw-tooth, default: 10height : float, optionalheight of saw-tooth, default: 1Returns-------sawToothgenerated sawtooth signaltmatching time vector"""t=np.arange(0,length,1/fs) # time vectorsum = np.zeros(len(t))for ii in range(1, order+1, 2):sign = -1* (ii % 4) + 2# create alternating signprint(str(ii)+': adding ' + str(sign) + ' sin(2 $\pi$ '+str(ii*f0)+' Hz t) / ' + str(ii**2))sum += sign*np.sin(2*np.pi*ii*f0*t)/(ii**2)return 8*height/(np.pi**2)*sum, t# let's use the function and generate and plot a tringular wave form
f0=2
tri,t = generateTriangular(f0,order=10)
plt.plot(t,tri)
plt.ylabel('$x_{\mathrm{tri}}(t)$');
plt.xlabel('time $t$ in seconds');

傅里叶级数和方波

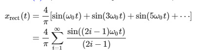
def generateSquare(f0=1, length = 2, fs=8000, order=10):t=np.arange(0,length,1/fs) # time vectorsum = np.zeros(len(t)) # pre-allocate variable with zeros for ii in range(1, order+1, 2):sum += np.sin(2*np.pi*ii*f0*t)/ii#print(str(ii)+': adding sin(2 $\pi$ '+str(ii*f0)+' Hz t)')return 4/np.pi*sum, t# let's use the function and generate and plot a square wave form
f0=1 # desired frequency in Hz
rec,t = generateSquare(f0,order=20)
plt.plot(t,rec,label='square Fourier');
plt.ylabel('rectangular signal $x_{\mathrm{rect}}(t)$')
plt.xlabel('time $t$ in seconds');# compare to the rectangular/square wave signal generated by scipy
rec_scipy = sig.square(2 * np.pi * f0 * t)
plt.plot(t,rec_scipy,'--',label='scipy square wave')
plt.legend();

本文来自互联网用户投稿,文章观点仅代表作者本人,不代表本站立场,不承担相关法律责任。如若转载,请注明出处。 如若内容造成侵权/违法违规/事实不符,请点击【内容举报】进行投诉反馈!
