平衡电桥及对称网络分析
1.等电位点
⑴等电位,即等电势。如果两点间电位相等,电压为零,则这两点称为等电位点。
⑵分析电路时,根据参数(变量值)计算的需要,等电位点之间的支路,可以断开,也可以短路,不会影响电路的其余部分。
2.平衡电桥

图1
图1所示的惠通斯电桥,可将
构成的∆形联结等效成如图2所示的Y形联结,
时,很容易通过图2证明,ce和de两个支路的电压降相等,所以,图1中,对角线支路
两端等电位,此时的电桥称为平衡电桥,
可以去掉,也可以短路。

图2
图1所示的惠通斯电桥,可将
构成的∆形联结等效成如图2所示的Y形联结,
时,很容易通过图2证明,ce和de两个支路的电压降相等,所以,图1中,对角线支路
两端等电位,此时的电桥称为平衡电桥,
可以去掉,也可以短路。
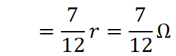
题1电路如图3所示,求等效电阻
。

图3
解析:原电路是一个平衡电桥(将图3变形为图4看得更清楚),故
![]()

图4
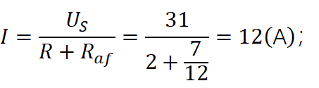
题2电路如图5所示,求电压源和电流源功率。

图5
解析:原电路5Ω右侧为平衡电桥(图5虚线圈内所示),可断开30Ω支路,则电压源右侧电路的等效电阻为
![]()
因此,电路简化为如图6所示。

图6
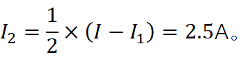
则
;
;
(发出300W功率);
(吸收100W功率)。
3.对称(平衡)网络
类似于平衡电桥,具有对称性的特殊复杂网络,可利用其对称性寻找等电位点,进而通过短接等电位点或断开所连接支路,简化电路分析和变量计算。
对称的类型一般包括立体网络的传递面对称(传递面两侧对称点等电位)和平面平衡网络的轴线对称(轴线两侧对称点等电位)。
题3求图7所示电路a、h端的等效电阻
,设图中所有电阻都是1Ω。

图7
解析:对端口ah,有achf和adhg两个传递对称面,因此b、d、f三点等电位,c、g、e也是等电位点,分别将它们短路,得等效电路如图8所示。

图8
所以,等效电阻

题4图9所示电路中,
,
,
,求
和
。

图9
解析:标注立方体电阻网络各结点如图10所示,对端口af,平面achf是其传递对称面,所以b、d等电位,e、g等电位,将它们分别短接,可得端口af的等效电阻为

图10

计算总电流和支路电流分别为



本文来自互联网用户投稿,文章观点仅代表作者本人,不代表本站立场,不承担相关法律责任。如若转载,请注明出处。 如若内容造成侵权/违法违规/事实不符,请点击【内容举报】进行投诉反馈!
