利用excel做掷硬币实验,探究频率与概率的关系
今天正在上网课,突然有人问我频率与概率有什么关系,我懵了,虽然知道她在学概率部分,但一时没想起来,后来一搜原来如此。
事件A={掷硬币正面朝上},事件B={掷硬币反面朝上}
P(A)=0.5,P(B)=0.5

概率是一个稳定的数值,也就是某件事发生或不发生的概率是多少,频率是在一定数量的某件事情上面,发生的数与总数的比值。
对于给定的随机事件A,在特定的条件下,随实验次数的增加,事件A发生的频率会在某个常数附近摆动并趋于稳定,这个常数就是事件A发生的概率。
至于什么是随机事件,就是你知道结果都是不知道是否会发生的事件,比如天气,比如掷硬币,你知道不是正面就是反面,都是到底是正面还是反面嘞,我们在抛之前并不知道,相反,抛完之后我们一定知道。
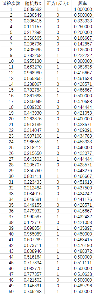
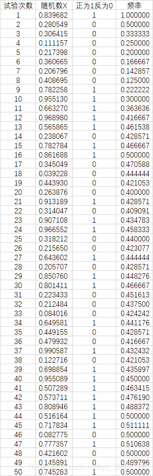
用excel中的公式RAND生成0到1之间的随机数X,当0

图表如下
本文来自互联网用户投稿,文章观点仅代表作者本人,不代表本站立场,不承担相关法律责任。如若转载,请注明出处。 如若内容造成侵权/违法违规/事实不符,请点击【内容举报】进行投诉反馈!
