大物实验计算弹性模量_普渡大学amp;橡树岭国家实验室IPJ:强度高达2.4GPa,双相纳米复合结构助力铝合金性能大幅提高!...

导读:铝合金的应用往往受到其机械强度低的限制。晶粒细化和非晶化等方法通常提高机械强度会牺牲塑性。在这里,作者报道了通过调控溅射Al1-xCrx(x=0-25 at%)中铬的成分来实现从微/纳米晶到完全非晶态结构的多级相变。原位扫描电镜显微力学实验表明Al-Cr合金的流动应力可达到2.4 GPa。本研究揭示了通过多级相变构建纳米复合材料对提高纳米晶和非晶材料塑性的好处。
铝合金已广泛应用于工程结构材料和涂料。然而,最好的商用铝合金时效硬化后的强度通常达到~ 700MPa的上限。Hall和Petch提出,晶粒细化限制了位错堆积,为强化金属提供了有效的机制。目前许多学者对用塑性变形和其他非平衡方法制备的超细晶(UFG)和纳米晶(NC)金属的力学行为进行了广泛的研究。具有超多晶界的NC金属在高温下甚至室温条件下变形,通过晶粒粗化,都能转化为热力学稳定状态。合金化是保持金属机械稳定性和热稳定性的有效途径。到目前为止,制造强度水平在1 GPa的UFG和NC铝合金仍然是一个挑战。Liddicoat等研究表明,7075Al在高压扭转(HPT)下具有纳米团簇的纳米颗粒,其最终强度达到~ 1 GPa。对于大多数金属材料,机械强度的增加通常伴随着延性的牺牲,这是由于位错活动的抑制和沿GBs的断裂导致的。
在FCC NC金属中,极细晶粒尺寸下的变形机制与金属玻璃(MGs)相似,如应变速率不敏感和剪切局部化。玻璃态可以粗略地认为是具有最小晶粒尺寸的NC金属的最终形态。MG通过位错介导过程不变形,但大多发展局部剪切带(SBs)适应塑性。非晶化是进一步提高MGs强度的另一有效策略,预计其强度为E/50,而NC金属为E/85, E为弹性模量。有趣的是,Inoue等人利用嵌入在非晶基体中的3-10 nm Al粒子合成了Al88Ni9Ce2Fe1,并强度为1.56 GPa。这些例子表明,嵌入纳米晶体在MGs中可以有效地阻止SB的传播,从而引入显著的强化。但当晶粒的外在尺寸小于SBs的临界尺寸时,MGs没有明显的拉伸延展性。
相关研究表明,过渡金属(TM)溶质可导致二元铝合金晶粒细化和非晶化。一些TM溶质的添加会导致形成具有柱状纳米颗粒的过饱和铝合金,从而使这些合金的流动应力超过1.5 GPa。
基于此,美国普渡大学张兴航教授团队联合橡树岭国家实验室研究了磁控溅射Al-Cr合金的微观结构演变,发现了一种不同寻常的多级fcc-金属间(Al7Cr)-非晶态相变,采用多级相变产生的双相纳米复合结构,可以将流动应力降低到0.8至2.4 GPa,并显著提高金属玻璃的塑性。相关研究成果以题“High-strength and tunable plasticity in sputtered Al-Cr alloys with multistage phase transformations”发表在国际顶级期刊International Journal of Plasticity上。
论文链接“https://doi.org/10.1016/j.ijplas.2020.102915”

作者报告了溅射Al-Cr合金的微观结构演变,以及在较宽的组成范围内从结晶到非晶态的多级相变。根据合金成分的不同,铬的偏析有利于形成不同的相。纳米压痕和原位压缩实验表明,随着Cr组成的增加,Cr优先析出到GBs中或在Al中形成双相组织,这与之前研究的Al- TM体系不同,强度和塑性的变化与微结构的演变密切相关。

图1。随铬浓度从1at.%增加到24 at.%,溅射铝铬样品的TEM图像。插图是相应的选定区域电子衍射(SAED)图案。(a-c) Al-1Cr、Al-5Cr、Al-7Cr具有多晶颗粒且无较强的织构。(d) Al-13Cr中橙色箭头标记的扩散晕表示无定形相的形成。(e) Al-17Cr包含嵌入非晶相内的FCC纳米颗粒。(f) Al-24Cr几乎完全变为非晶态,岛屿被韧带分开,类似于“纳米玻璃”结构。

图2各种沉积态的Al-Cr试样的STEM图像及相应的EDS成分图。(a) Al-1Cr中出现少量Cr偏析。(b) Al-7Cr薄膜沿晶界(GBs)有明显的Cr偏析,富Cr晶界的厚度变化较大。(c) Al-13Cr存在大面积cr的富集区域。(d) Al-24Cr膜由富铝韧带组成,该富铝韧带分隔了Al-Cr非晶基体的区域。

图3(a) Al-Cr合金的平均晶粒尺寸随着Cr成分的增加而减小,而富Cr相的厚度和体积分数则单调增加。(b-d) Al-7Cr和(e-g) Al-13Cr复合薄膜的详细微观结构。(b) Al-7Cr合金的TEM图显示FCC晶粒内部被几个纳米厚的GBs包围。(b、c) HRTEM图像确认了GB由FCC晶粒间由金属间化合物Al7Cr组成。(e) Al-13Cr的平面TEM图像显示,FCC纳米颗粒分散在Al-13Cr膜的非晶相中。(f) HRTEM图像显示一个由低角度GBs分离的5个子晶粒组成的晶体簇,通过快速傅里叶变换(FFTs)验证。(g) HRTEM图像显示FCC相和非晶态相之间的边界。

图4(a) Al-Cr合金的纳米压痕表明,硬度随Cr组成和多级显微组织转变而增加,Al-21Cr在6 GPa时达到饱和,之后硬度下降。引用了不同工艺制备的CG、UFG或NC Al和Al- cr合金的力学行为区域进行比较。(b) Al-Cr合金的纳米压痕测量的缩微模量和计算弹性模量随Cr成分单调增加。模量按混合规律计算。

图5Al-Cr合金的原位扫描电镜压缩试验:工程应力-应变曲线以及不同应变水平下捕获的变形微柱的相应扫描电镜快照。(a) Al-3Cr微柱在柱顶局部膨胀,表面粗化。(b) Al-7Cr微柱在柱顶附近也出现了几乎均匀的变形和表面粗化。(c)Al-13Cr微柱形成高密度剪切带,并在应力-应变曲线上观察到连续的锯齿。(d) Al-21Cr微柱变形形成大剪切带,在应力-应变曲线上表现为明显的离散应力下降。当铬含量从4 at%增加到21 at%时,在5%应变下选择的流动应力从0.75 GPa显著增加到2.4 GPa%,而纯铝为200MPa。

图6.(a-d)压头-微柱接触区域附近测得的自发支柱直径随Al-3Cr,Al-7Cr,Al-13Cr和Al-21Cr合金的位移而变化。根据常规均质模型估算的支柱直径以虚线显示,以进行比较。(e-h)四种合金对应的自发真实应力与真实应变曲线,与硬化角法计算出的硬化速率叠加。

图7Al-3Cr (a-e)和Al-7Cr (f-k)在变形至17%时的TEM分析比较(a) Al-3Cr柱顶变形概况的截面TEM图像。(b) ASTAR自动晶体取向图(ACOM),显示在柱顶附近发生优先膨胀和局部晶粒粗化。(c)三柱状晶在距表面约600 nm范围内的变形导致的线性错向角,(d) STEM图像和相应的EDS组成图显示了不显着的Cr偏析(e) HRTEM图像显示两FCC晶粒变形的GB,没有第二相装饰。(f) Al-7Cr微柱变形的TEM截面图像。(g) ACOM表现出更均匀的变形和纳米柱的粗化。(h) 从三个柱状晶粒内的h1-h3三行收集的线性取向角的深度依赖性分布表明,在接触面下方扩展至~1.2 µm的柱状晶粒内,变形引起的取向失调迅速增加至10-20度。(h)(i)STEM图像和相应的EDS组成图显示GBs处明显的Cr偏析。(j,k)HRTEM图像显示GBs处的Al 7Cr相。

图8 对(a, b) Al-13Cr和(c, d) Al-21Cr变形达15~16%的微柱进行了TEM分析比较。对Al-13Cr, (a) TEM图像和相应的EDS成分地图显示,非晶基体中的纳米柱在变形后开始沿剪切方向排列, (b) HRTEM图像显示,引入的剪切带(SBs)是由拉长的纳米晶阻碍,导致纳米颗粒的变形。至于Al-21Cr,(c)亮场STEM图像显示高密度SBs的形成和传播和(d)STEM图像显示SBs在富Cr基质中通过富铝韧带不间断地传播。SAED图案表明非晶态结构的形成。

图9 Cr含量为(a)3 at.%%,(b)7 at.%,(c)13 at.%和(d)21 at.%的Al-Cr薄膜断口形貌。柱状晶沿生长方向变粗,形成反圆锥形。(c)纳米晶-非晶态Al-13Cr薄膜的断口表面普遍存在“延展性”韧窝。(d) Al-21Cr非晶态薄膜具有脆性的纳米柱状断口面

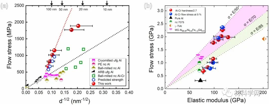
图10 (a)具有晶体结构的Al-Cr合金及文献中选用的不同工艺制备的Al和Al-Cr合金的霍尔佩奇图。霍尔佩奇图用于预测霍尔佩奇强化、基于Fleischer模型的固溶体强化和NC钉扎强化的强化贡献。(b)流动应力与Al-Cr合金的弹性模量的关系。纳米晶系的参考线E/85以及金属玻璃的E/50和E/70之间的参考线用虚线表示。引用了经典的纳米晶7075、金属间化合物TiAl和富铝AlNiFeGd金属玻璃。
综上所述,本文系统地研究了Al1-xCrx(x=0-25at.%)溅射后的微观结构转变和与微观结构相关的流动应力和塑性。发现了一种不同寻常的多级fcc-金属间(Al7Cr)-非晶态相变,根据合金成分的不同,铬的偏析有利于形成不同的相。纳米压痕和原位压缩实验表明,采用多级相变产生的双相纳米复合结构,可以将流动应力降低到0.8至2.4 GPa,提高金属玻璃的塑性。通过解释真实应力-应变行为和检查变形后的微观结构,建立了不同微观结构之间的力学行为的机械联系。研究表明,纳米复合材料的结构对特殊强度和可定制塑性有重要影响。
版权声明本文来自材料学网微信公众号,欢迎友好转载,转载请联系后台,未经许可,谢绝转载公众号时间轴改版,很多读者反馈没有看到更新的文章,据最新规则,建议:将“材料学网”公众号设为星标
,或多次进公众号,阅读3-5篇文章,成为“常读”用户,就能及时收到了。
相关阅读:谷歌学术搜索引擎重新启用(附攻略)麻省理工Science:刮胡刀为什么会变钝!必收藏!《材料科学基础》分章思维导图
觉得有用的话请点分享或在看
本文来自互联网用户投稿,文章观点仅代表作者本人,不代表本站立场,不承担相关法律责任。如若转载,请注明出处。 如若内容造成侵权/违法违规/事实不符,请点击【内容举报】进行投诉反馈!
