信号与系统学习记录
目录
- 第一章 绪论
- 1.1 信号与系统
- 1.1.1 信号
- 1.1.2 系统
- 1.1.3 信号理论与系统理论
- 1.1.4 通信系统与信号处理
- 1.2 信号的描述、分类和典型
- 1.2.1 信号的描述
- 1.2.2 信号的分类
- 1.2.3 信号的典型
- 1.3 信号的运算
- 1.3.1 对自变量的变换
- 1.3.2 微分和积分
- 1.3.3 信号的加法和乘法
- 1.4 ⋆ \star ⋆阶跃信号和冲激信号
- 1.4.1 奇异信号
- 1.4.2 单位斜变函数
- 1.4.3 ⋆ \star ⋆单位阶跃函数
- 1.4.4 ⋆ ⋆ \star\star ⋆⋆ 单位冲激函数 ♢ \diamondsuit ♢
- 1.4.5 小结
- 1.5 信号的分解
- 1.5.1 直流分量和交流分量
- 1.5.2 奇分量和偶分量
- 1.5.3 脉冲分量
- 1.5.4 实部分量和虚部分量
- 1.5.5 正交分量
- 1.5.6 分形分量
- 1.6 系统模型及其分类
- 1.6.1 信号的时域运算(基本元件)
- 1.6.2 系统的定义和表示
- 1.6.3 系统的分类
- ⋆ ⋆ \star\star ⋆⋆ 1.7 线性时不变系统
- 1.7.1 线性与非线性系统
- 1.7.2 时变与非时变系统
- 1.7.3 因果与非因果系统
- 1.8 系统分析方法
- 第二章 连续时间系统的时域分析
- 2.1 引言
- 2.2 微分方程的建立与求解
- 2.2.1 微分方程的建立
- 2.2.2 微分方程的经典法求解
- 2.3 起始点的跳变
- 2.3.1 0 − 0_{-} 0−状态和 0 + 0_{+} 0+状态
- 2.3.2 电容电压的跳变
- 2.3.3 电感电流的跳变
- 2.3.4 求解示例
- 2.3.5 冲激函数匹配法确定初始条件
- 2.4 零输入响应和零状态响应
- 2.4.0 定义与特点
- 2.4.1 起始状态与激励源的转换
- 2.4.2 电容电感的等效电路
- 2.4.3 系统响应划分
- 2.4.4 对线性非时变系统的进一步认识
- 2.5 冲激响应和阶跃响应
- 2.5.1 冲激响应
- 2.5.2 阶跃响应
- 2.5.冲激响应与阶跃响应的关系
第一章 绪论
1.1 信号与系统
1.1.1 信号
- 消息(Message):在通信系统中,一般将包含信息的语言、文字、图像或数据统称为消息
- 信息(information):是指传达给人的消息能消除受信者的某些不确定性
- 信号(Signal):指消息的表现形式与传送载体,通常表示为时间的函数。电信号是应用最广泛的物理量,如电压、电流、电荷、磁通等
- 三者之间的关系:信息是消息的内容,消息借助一定形式的信号传送出去,即信息是消息的传输内容,信号是消息的传输形式
1.1.2 系统
- 系统(system):由若干相互作用和相互依赖的事物组合而成的,具有稳定功能的整体。如太阳系、电系统、通信系统、控制系统、经济系统、生态系统等。
- 系统可以看作是变换器、处理器
- 电系统具有特殊的重要地位,某个电路的输入、输出是完成某种功能,如微分、积分、放大,也可以称系统
在电子技术领域中,“系统”、“电路”、“网络”三个名词在一般情况下可以通用
1.1.3 信号理论与系统理论

1.1.4 通信系统与信号处理
通信系统:为传送消息二装设的全套技术设备(包括传输信道)

- 在通信系统中传送的本质内容是信息
- 发送端:将信息表示成具体的消息,再将消息加载到信号上,才能在实际的通信系统中传输
- 接收端:经过对含有噪声的信号进行处理,使之变成文字、语言或图像形式的消息,人们再从中得到有用的信息
信号处理:对信号进行某种加工或变换,以达到消除信号中的多余内容、滤除混杂的噪声和干扰、将信号变换成容易分析与识别的形式,便于估计和选择它的特征参量
1.2 信号的描述、分类和典型
信号(Signal):是随时间变化的某种物理量,是消息的表现形式与传送载体
1.2.1 信号的描述
描述方式:1)表达式 2)波形 3)频谱
- 物理上: 信号是信息寄寓变化的形式
- 数学上: 信号是一个或多个变量的函数
- 形态上: 信号表现为一种波形
- 自变量: 时间、位移、周期、频率、幅度、相位等
1.2.2 信号的分类
- 确定性信号和随机信号
1)确定性信号:对于指定的某一时刻t,可确定一相应的函数值f(t)。
若干不连续点除外(信号与系统)
2)随机信号:具有不可预知的不确定性(随机信号分析)
3)伪随机信号:貌似随机而遵循严格规律产生的信号(伪随机码)(扩频通信) - 周期信号和非周期信号
1)周期信号: f ( t ) = f ( t + n T ) , n = 0 , ± 1 , ± 2 , ± 3... f(t)=f(t+nT),n=0,±1,±2,±3... f(t)=f(t+nT),n=0,±1,±2,±3...
2)非周期信号:
准周期信号:频率之比为无理数,如: s i n t + s i n π t sint+sinπt sint+sinπt
瞬态:除准周期信号外的一切可以用时间函数描述的非周期信号
说明:
两个连续周期信号的和信号不一定是周期信号。
只有当两个周期信号的周期之比为有理数时,和信号才是周期信号,其周期等于两信号周期的最小公倍数
- 连续信号和离散信号
连续时间信号:信号存在的时间范围内,任意时刻都有定义(即都可以给出确定的函数值,可以有有限个间断点),用t表示连续时间变量。

离散时间信号:在时间上是离散的,只在某些不连续的规定瞬时给出函数值,其他时间没有定义,用整数序号n表示离散时间变量

模拟信号、抽样信号和数字信号

这里有一个表格,可以很好的判断信号的类型

-
一维信号和多维信号
一维信号:只由一个自变量描述的信号,如语音信号
多维信号:由多个自变量描述的信号,如图像信号 -
能量信号和功率信号
能量信号(Energy signal):E为有限值,P = 0
E = lim T → ∞ ∫ − T T ∣ f ( t ) ∣ 2 d t E=\lim_{T\to \infty}\int_{-T}^{T}{|f(t)|^2}dt E=T→∞lim∫−TT∣f(t)∣2dt
功率信号(Power signal):P为有限值,E = 0
P = lim T → ∞ 1 2 T ∫ − T T ∣ f ( t ) ∣ 2 d t P=\lim_{T\to \infty}\frac{1}{2T}\int_{-T}^{T}{|f(t)|^2}dt P=T→∞lim2T1∫−TT∣f(t)∣2dt
1.2.3 信号的典型
- 指数信号

- 正弦信号

- 复指数信号

- 抽样信号

- 钟型信号

1.3 信号的运算
1.3.1 对自变量的变换
-
平移
f ( t ) ⟹ f ( t ± τ ) f(t)\Longrightarrow f(t±\tau) f(t)⟹f(t±τ)
1)将信号 f ( t ) f(t) f(t)沿着时间轴平移 τ \tau τ个单位长度,得到 f ( t ± τ ) f(t±\tau) f(t±τ);
2)满足“左加右减”原则,向右移动表示滞后,向左移动表示超前;
3)在信号与系统的课程中应该持有一种思想,即:
认为t的负半轴是过去,而t=0的点是当下时刻,t的正半轴为将来,这种思想有助于建立信号的时域观念 -
反褶
f ( t ) ⟹ f ( − t ) f(t)\Longrightarrow f(-t) f(t)⟹f(−t)
以纵轴为对称轴折叠,将信号的过去与将来对调

-
尺度(展缩)
f ( t ) ⟹ f ( a t ) f(t)\Longrightarrow f(at) f(t)⟹f(at)
f ( t ) ⟹ f ( a t ) { a > 1 ⟶ 压缩,信号持续的时间缩短 0 < a < 1 ⟶ 扩展,信号持续的时间延长 f(t)\Longrightarrow f(at) \left\{\begin{matrix} a>1\longrightarrow 压缩,信号持续的时间缩短\\ 0f(t)⟹f(at){a>1⟶压缩,信号持续的时间缩短0<a<1⟶扩展,信号持续的时间延长
波形的压缩与扩展,标度变换

-
一般情况
f ( t ) ⟶ f ( a t ± b ) = f [ a ( t ± b a ) ] ( 设 a > 0 ) f(t)\longrightarrow f(at±b)=f[a(t±\frac{b}{a})] (设a>0) f(t)⟶f(at±b)=f[a(t±ab)](设a>0)
notice:所有的变换应该是只针对自变量 t t t进行的变换
1.3.2 微分和积分
- 微分
f ′ ( t ) = d f ( t ) d t f ^\prime(t)=\frac{df(t)}{dt} f′(t)=dtdf(t)

- 积分
∫ − ∞ t f ( τ ) d τ \int_{-\infty}^t f(\tau)d\tau ∫−∞tf(τ)dτ

1.3.3 信号的加法和乘法
在通信系统的调制、解调等过程中将经常遇到两信号相乘运算

1.4 ⋆ \star ⋆阶跃信号和冲激信号
1.4.1 奇异信号
函数本身有不连续点(跳变点),或其导数与积分有不连续点的一类函数统称为奇异信号或奇异函数
1.4.2 单位斜变函数
斜变信号也称斜坡信号或斜升信号。这是指从某一时刻开始随时间正比例增长的信号。如果增长的变化率是1,就称为单位斜变信号
- 单位斜变信号

- 有延迟的单位斜变信号

- 斜变信号表示三角脉冲

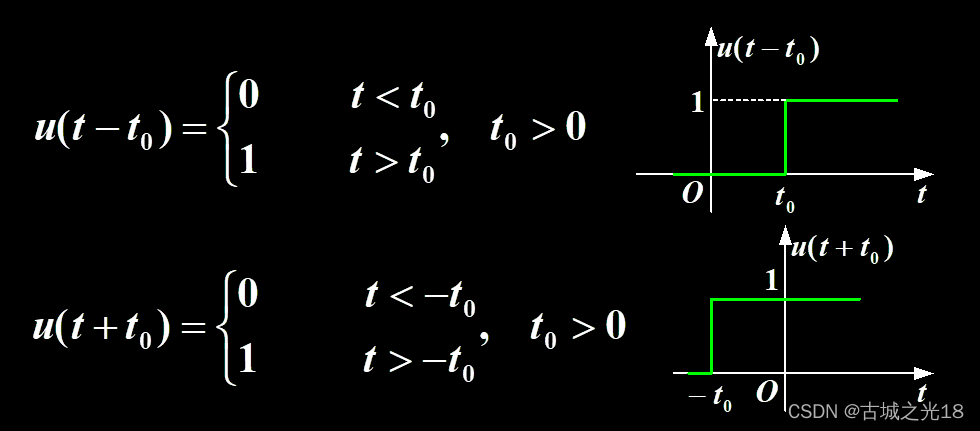
1.4.3 ⋆ \star ⋆单位阶跃函数
单位阶跃函数的物理背景是,在t=0时刻对某一电路接入单位电源(可以是直流电压源或直流电流源),并且无限持续下去。
容易证明,单位斜变函数的导数等于单位阶跃函数
- 单位阶跃函数

- 有延迟的单位阶跃函数

- 门函数(窗函数)
其他函数只要用门函数处理(乘以门函数),就只剩下门内的部分
f ( t ) = u ( t + τ 2 ) − u ( t − τ 2 ) f(t)=u(t+\frac{\tau}{2})-u(t-\frac{\tau}{2}) f(t)=u(t+2τ)−u(t−2τ)

- 符号函数(Signum)
s g n ( t ) = { 1 , t > 0 0 , t < 0 sgn(t)= \left\{\begin{matrix} 1,t>0\\ 0,t<0 \end{matrix}\right. sgn(t)={1,t>00,t<0
用阶跃函数表示
s g n ( t ) = − u ( − t ) + u ( t ) = 2 u ( t ) − 1 sgn(t)=-u(-t)+u(t)=2u(t)-1 sgn(t)=−u(−t)+u(t)=2u(t)−1 u ( t ) = 1 2 [ s g n ( t ) + 1 ] u(t)=\frac{1}{2}[sgn(t)+1] u(t)=21[sgn(t)+1]

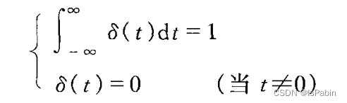
1.4.4 ⋆ ⋆ \star\star ⋆⋆ 单位冲激函数 ♢ \diamondsuit ♢
某些物理现象需要用一个时间极短,但取值极大的函数模型来描述,例如力学中瞬间作用的冲击力,电学中的雷击电闪,数字通信中的抽样脉冲等。“冲激函数”的概念就是以这类实际问题为背景而引出的。
单位冲激函数定义
- 数学逼近定义

如果矩形脉冲的面积不是固定为1,而是E,则表示一个冲激强度为E倍单位值的δ函数,即Eδ(t)(在用图形表示时,可将此强度E注于箭头旁)


上图所示分别为三角形脉冲、双边指数脉冲、钟形脉冲以及抽样函数演变为冲激函数 - Dirac函数定义

1)函数值只在t = 0时不为零
2)积分面积为1
3)t =0 时, δ ( t ) → ∞ \delta(t)\rightarrow \infty δ(t)→∞,为无界函数
单位冲激函数的性质
-
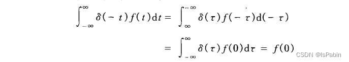
抽样性
乘积形式: f ( t ) δ ( t ) = f ( 0 ) δ ( t ) f(t)\delta(t)=f(0)\delta(t) f(t)δ(t)=f(0)δ(t)
积分形式: ∫ − ∞ ∞ f ( t ) δ ( t ) d t = f ( 0 ) \int_{-\infty}^{\infty}f(t)\delta(t)dt =f(0) ∫−∞∞f(t)δ(t)dt=f(0)

移位形式: ∫ − ∞ ∞ f ( t ) δ ( t − t 0 ) d t = f ( t 0 ) \int_{-\infty}^{\infty}f(t)\delta(t-t_0)dt =f(t_0) ∫−∞∞f(t)δ(t−t0)dt=f(t0) -
奇偶性
δ ( t ) = δ ( − t ) \delta(t)=\delta(-t) δ(t)=δ(−t)
δ ( t ) \delta(t) δ(t)为偶函数,可以用数学逼近定义或者筛选性得以证明,下面为通过筛选性进行证明

-
冲激偶 ♢ \diamondsuit ♢
定义
冲激函数的微分(阶跃函数的二阶导数)将呈现正、负极性的一对冲激,称为冲激偶信号,以8(t)表示。可以利用规则函数系列取极限的概念引出 δ ′ ( t ) \delta^\prime(t) δ′(t),在此借助三角形脉冲系列
性质

-
标度变换

1.4.5 小结
R ( t ) 、 u ( t ) 、 δ ( t ) R(t)、u(t)、\delta(t) R(t)、u(t)、δ(t) 之间的关系

冲激函数性质总结

1.5 信号的分解
1.5.1 直流分量和交流分量

1.5.2 奇分量和偶分量

例题

1.5.3 脉冲分量
矩形窄脉冲序列

连续阶跃信号之和

将信号分解为冲激信号叠加的方法应用很广,后面的卷积积分中将用到,可利用卷积积分求系统的零状态响应。
1.5.4 实部分量和虚部分量

1.5.5 正交分量

1.5.6 分形分量
1.6 系统模型及其分类
1.6.1 信号的时域运算(基本元件)
- 基本元件


- 系统框图
1、连续时间系统的框图由加法器、倍乘单元和积分器构成,因此,须将微分方程改写成积分方程后再绘制。
2、同一系统(或微分方程)对应的框图不唯一,信号流图也有该性质
例

1.6.2 系统的定义和表示
- 定义
系统(System) 由一些单元按一定规则相互连接而成的具有一定功能的有机整体;
单元与系统之间没有明显的界限各单元之间的连接是有一定规则的,连接方式不同,所组成的系统也不同;系统的功能是指在给定激励(输入)下,达到怎样的响应(输出)
系统可以看作信号的变换器、处理器 - 表示

1.6.3 系统的分类


⋆ ⋆ \star\star ⋆⋆ 1.7 线性时不变系统
1.7.1 线性与非线性系统
定义

判断方法

1.7.2 时变与非时变系统
定义

时不变性

判断方法

线性时不变系统的微积分特性

1.7.3 因果与非因果系统
定义

判断方法
输出不超前于输入


因果信号

1.8 系统分析方法
建立系统模型的两种方法
-
输入——输出描述法
– 着眼于激励与响应的关系,而不考虑系统内部变量情况
– 单输入/单输出系统
– 列写一元 n 阶微分方程 -
状态变量分析法
– 不仅可以给出系统的响应,还可以描述内部变量,如电容电压 v C ( t ) v_C(t) vC(t)或电感电流 i L ( t ) i_L(t) iL(t)的变化情况
– 研究多输入/多输出系统
– 列写多个一阶微分方程
数学模型的求解方法
-
时域分析
– 经典法求解 { 连续系统:微分方程 离散系统:差分方程 经典法求解 \left\{\begin{matrix} 连续系统:微分方程\\ 离散系统:差分方程 \end{matrix}\right. 经典法求解{连续系统:微分方程离散系统:差分方程
– 卷积积分法 -
变换域分析
– 傅里叶变换——FT
– 拉普拉斯变换——LT
– z 变换——ZT
– 离散傅里叶变换——DFT
– 离散沃尔什变换——DWT
第二章 连续时间系统的时域分析
2.1 引言
本章要点:
- 线性系统完全响应的求解:齐次解和特解
- 零输入响应和零状态响应
- ⋆ \star ⋆ 卷积积分:针对零状态响应 ♢ \diamondsuit ♢

系统分析过程

- 经典法:前面电路分析课里已经讨论过,但与 δ ( t ) \delta(t) δ(t)有关的问题有待进一步解决—— h ( t ) h(t) h(t)
- 卷积积分法: 任意激励下的零状态响应可通过冲激响应来求 (新方法)
y z s ( t ) = f ( t ) ∗ h ( t ) y_{zs}(t)=f(t)*h(t) yzs(t)=f(t)∗h(t)
2.2 微分方程的建立与求解
2.2.1 微分方程的建立
若系统的参数不随时间而改变,则该系统可以用线性常系数微分方程来描述
根据实际系统的物理特性列写系统的微分方程,对于电路系统,主要是根据元件特性约束和网络拓扑约束列写系统的微分方程;
- 元件特性约束:表征元件特性的关系式。例如二端元件电阻、电容、电感各自的电压与电流的关系以及四端元件互感的初、次级电压与电流的关系等等;
- 网络拓扑约束:由网络结构决定的电压电流约束关系,KCL,KVL;
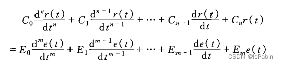
一个线性系统,其激励信号 e ( t ) e(t) e(t)与响应信号 r ( t ) r(t) r(t)之间的关系,可以用下列形式的微分方程式来描述

若系统为时不变的,则C,E均为常数,此方程为常系数的 n 阶线性常微分方程
阶次:方程的阶次由独立的动态元件的个数决定
2.2.2 微分方程的经典法求解


几种典型激励函数的特解

求解线性、常系数微分方程流程图

小结
- 常微分方程的全解由齐次解和特解组成
- 齐次解的函数形式仅依赖于系统本身的特性,而与激励函数的形式无关,称为系统的自由响应或固有响应
- 齐次解的系数与初始条件有关
- 特征方程根称为系统的固有频率
- 特解的形式由激励信号的形式确定,称为强迫响应
2.3 起始点的跳变
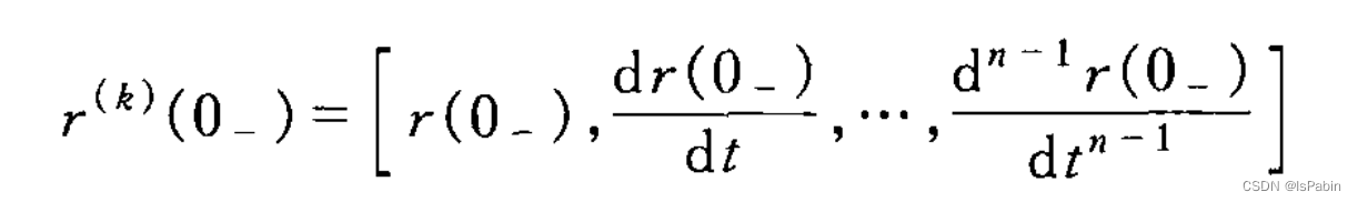
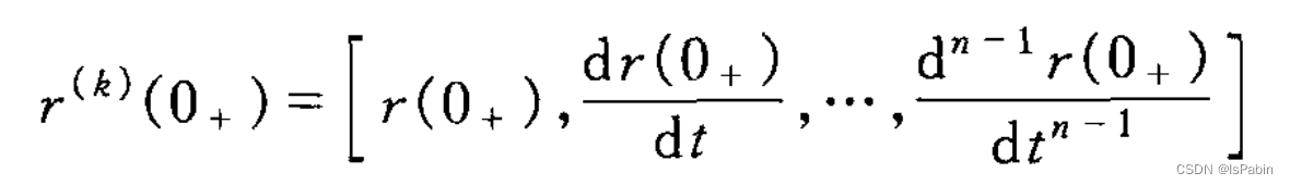
2.3.1 0 − 0_{-} 0−状态和 0 + 0_{+} 0+状态
由于激励信号的作用,响应 x ( t ) x(t) x(t)及其各阶导数有可能在t=0时刻发生跳变,为区分跳变前后的状态,我们以 0 − 0_{-} 0−表示激励接入之前的瞬时,以 0 + 0_{+} 0+表示激励接人以后的瞬时。与此对应,给出 0 − 0_{-} 0−时刻和 0 + 0_{+} 0+时刻的两组状态,即:

我们称这组状态为“ 0 − 0_{-} 0−状态”或“起始状态”。它包含了为计算未来响应所需要的过去全部信息。另一组状态是

这组状态被称为“ 0 + 0_{+} 0+状态”或“初始状态”,也可称为“导出的起始状态”。
一般情况下,用时域经典法求得微分方程的解答应限于 0 + < t < ∞ 0+
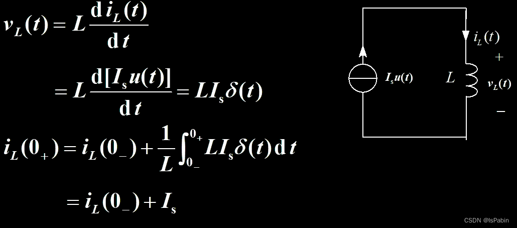
在没有冲激电流(或阶跃电压)强迫作用于电容的条件下,电容两端电压C(t)不发生跳变;在没有冲激电压(或阶跃电流)强迫作用于电感的条件下,流经电感的电流iz(t)不发生跳变。这时有:
v C ( 0 + ) = v C ( 0 − ) i L ( 0 + ) = i L ( 0 − ) v_C(0_{+}) = v_C(0_{-})\\ i_L(0_{+})=i_L(0_{-}) vC(0+)=vC(0−)iL(0+)=iL(0−)
2.3.2 电容电压的跳变


2.3.3 电感电流的跳变


2.3.4 求解示例

(1) 列出电路的微分方程

(2) 求解系统的完全响应

(3) 确定电路的初始状态 i ( 0 + ) 、 d d t i ( 0 + ) i(0_{+})、\frac{d}{dt}i(0_{+}) i(0+)、dtdi(0+)
换路之前

换路之后

(4)求 i ( t ) i(t) i(t)在 t > = 0 + t>=0_{+} t>=0+时的全响应

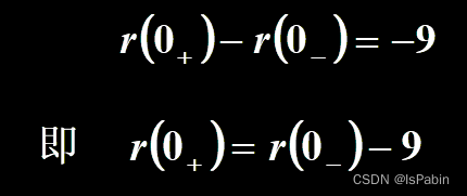
2.3.5 冲激函数匹配法确定初始条件

例题分析


数学描述

方法说明

2.4 零输入响应和零状态响应
2.4.0 定义与特点


- 自由响应和零输入响应都满足齐次方程的解。
- 然而,它们的系数完全不同。零输人响应的A仅由起始储能情况决定,而自由响应的A要同时依从于起始状态和激励信号。
- 自由响应由两部分组成,其中,一部分由起始状态决定,另一部分由激励信号决定。二者都与系统自身参数密切关联。
- 若系统起始无储能,即0_状态为零,则零输人响应为零,但自由响应可以不为零,由激励信号与系统参数共同决定。
- 零输入响应由0-时刻到0+时刻不跳变,此时刻若发生跳变可能出现在零状态响应分量之中。
2.4.1 起始状态与激励源的转换

2.4.2 电容电感的等效电路


2.4.3 系统响应划分


求解

2.4.4 对线性非时变系统的进一步认识

2.5 冲激响应和阶跃响应
2.5.1 冲激响应
定义


n阶冲激响应的数学模型

h(t)解答的形式

例题



2.5.2 阶跃响应
定义

2.5.冲激响应与阶跃响应的关系

补充

本文来自互联网用户投稿,文章观点仅代表作者本人,不代表本站立场,不承担相关法律责任。如若转载,请注明出处。 如若内容造成侵权/违法违规/事实不符,请点击【内容举报】进行投诉反馈!
