吴恩达MachineLearning-Week3
原笔记网址:https://scruel.gitee.io/ml-andrewng-notes/week1.html
红色字体为自己的标注、绿色字体为自己的感想。
目录
6 逻辑回归(Logistic Regression)
- 6.1 分类(Classification)
- 6.2 假设函数表示(Hypothesis Representation)
- 6.3 决策边界(Decision Boundary)
- 6.4 代价函数(Cost Function)
- 6.5 简化的成本函数和梯度下降(Simplified Cost Function and Gradient Descent)
- 6.6 进阶优化(Advanced Optimization)
- 6.7 多类别分类: 一对多(Multiclass Classification: One-vs-all)
7 正则化(Regularization)
- 7.1 过拟合问题(The Problem of Overfitting)
- 7.2 代价函数(Cost Function)
- 7.3 线性回归正则化(Regularized Linear Regression)
- 7.4 逻辑回归正则化(Regularized Logistic Regression)
6 逻辑回归(Logistic Regression)
6.1 分类(Classification)
回顾一下,在监督学习中,有两种问题解决类型,分别是:回归与分类。对于结果为连续值的,我们使用回归算法。对于结果为离散型的,我们使用分类方法。
在分类问题中,预测的结果是离散值(结果是否属于某一类),逻辑回归算法(Logistic Regression)被用于解决这类分类问题。
- 垃圾邮件判断
- 金融欺诈判断
- 肿瘤诊断
我们不妨用肿瘤诊断举例,假设用线性回归的方法进行预测。用一条直线将y值划分。当y大于等于a时,y值为1;当y小于a时,y值为0.(0<=a<=1)可以发现,根本无法模拟得到理想的结果。因此,对于离散y值,我们不能采用线性回归的方法,于是考虑引入新的概念:分类。
区别于线性回归算法,逻辑回归算法是一个分类算法,其输出值永远在 0 到 1 之间。虽然名字中有回归两字,但那只是历史原因,仍然属于分类算法。
6.2 假设函数表示(Hypothesis Representation)



![]()
6.3 决策边界(Decision Boundary)
决策边界的概念,可帮助我们更好地理解逻辑回归模型的拟合原理。

回忆一下 sigmoid 函数的图像:






当然,通过一些更为复杂的多项式,还能拟合那些图像显得非常怪异的数据,使得决策边界形似碗状、爱心状等等。
简单来说,决策边界就是分类的分界线,分类现在实际就由 z(中的
)决定啦。
记住:不是通过训练集得到的决策边界。而是通过训练集拟合得到
,再由
得到的决策边界。
我们只要让
的方程等于零,就可以计算得到决策边界。但是要注意边界的哪个方向得到y=1,哪个方向又是y=0,不要弄混。
6.4 代价函数(Cost Function)
那我们怎么知道决策边界是什么样?
多少时能很好的拟合数据?当然,见招拆招,总要来个
。

回忆线性回归中的平方损失函数,其是一个二次凸函数(碗状),二次凸函数的重要性质是只有一个局部最小点即全局最小点。而上图中有许多局部最小点,这样将使得梯度下降算法无法确定收敛点是全局最优(由于分类方法中h(x)是一个较复杂的函数,而非线性回归中的线性函数)。

如果令此处的损失函数是一个凸函数,则可以只有一个局部最小点即全局最小点,从而最优化。这类讨论凸函数最优值的问题,被称为凸优化问题(Convex optimization)。
当然,损失函数不止平方损失函数一种。
对于逻辑回归,更换平方损失函数为对数损失函数,可由统计学中的最大似然估计方法推出代价函数 :

如左图,当训练集的结果为y=1(正样本)时,随着假设函数趋向于1,代价函数的值会趋于0,即意味着拟合程度很好。如果假设函数此时趋于0,则会给出一个很高的代价,拟合程度差,算法会根据其迅速纠正
值,右图y=0同理。
区别于平方损失函数,对数损失函数也是一个凸函数,但没有局部最优值。
6.5 简化的成本函数和梯度下降(Simplified Cost Function and Gradient Descent)
由于懒得分类讨论,对于二元分类问题,我们可把代价函数简化为一个函数:


其中,在梯度下降优化
的过程中,为了确保学习速率的适当以及保证梯度下降方法的有效运行,我们通过将代价函数与迭代次数为坐标轴画图。当代价函数随着迭代次数逐渐减小最后趋于稳定值,则当前学习速率适当,梯度下降有效运行。
相关例题如下:

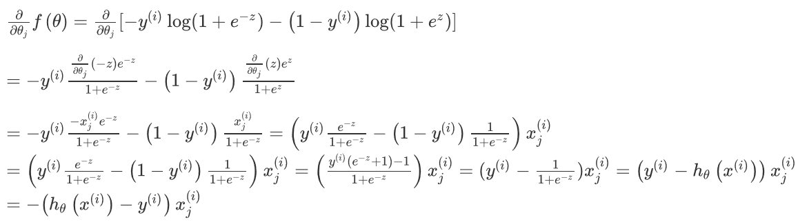
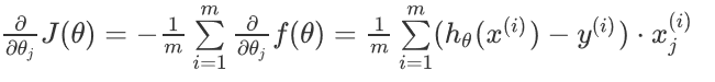
补充:逻辑回归中代价函数求导的推导过程:

所以有:

则可得代价函数的导数:

6.6 高级优化(Advanced Optimization)
运行梯度下降算法,其能最小化代价函数
并得出
的最优值,在使用梯度下降算法时,如果不需要观察代价函数的收敛情况,则直接计算
的导数项即可,而不需要计算
值。因为只需要利用到
的导数项优化
,得到
最优值。从而
最小化。
我们编写代码给出代价函数及其偏导数然后传入梯度下降算法中,接下来算法则会为我们最小化代价函数给出参数的最优解。这类算法被称为最优化算法(Optimization Algorithms),梯度下降算法不是唯一的最小化算法1。
一些最优化算法:
-
梯度下降法(Gradient Descent)
-
共轭梯度算法(Conjugate gradient)
-
牛顿法和拟牛顿法(Newton's method & Quasi-Newton Methods)
- DFP算法
- 局部优化法(BFGS)
- 有限内存局部优化法(L-BFGS)
-
拉格朗日乘数法(Lagrange multiplier)
比较梯度下降算法:一些最优化算法虽然会更为复杂,难以调试,自行实现又困难重重,开源库又效率也不一。不过这些算法通常效率更高,并无需选择学习速率
(少一个参数少一份痛苦啊!)。
Octave/Matlab 中对这类高级算法做了封装,易于调用。
下面为 Octave/Matlab 求解最优化问题的代码实例:
- 创建一个函数以返回代价函数及其偏导数(注意是偏导而非完整的
):
- 将
costFunction函数及所需参数传入最优化函数fminunc,以求解最优化问题:
注:Octave/Matlab 中可以使用
注意:fminunc函数的参数help fminunc命令随时查看函数的帮助文档。
至少要为二维。一维考虑使用fminuc。 - 返回结果

6.7 多类别分类: 一对多(Multiclass Classification: One-vs-all)
一直在讨论二元分类问题,这里谈谈多类别分类问题(比如天气预报)。

原理是,转化多类别分类问题为多个二元分类问题,这种方法被称为 One-vs-all。

也就是说,对于一个输入x,判断其是哪一类(总共k类)。我们将把x分别带入k个假设函数,得到分别为这k个类别的概率,即为k维的
。再找到
最大的那个分量所对应的类别。则x是该类别的,问题解决。
7.1 过拟合问题(The Problem of Overfitting)
对于拟合的表现,可以分为三类情况:
-
欠拟合(Underfitting)
无法很好的拟合训练集中的数据,预测值和实际值的误差很大,这类情况被称为欠拟合。拟合模型比较简单(特征选少了)时易出现这类情况。类似于,你上课不好好听,啥都不会,下课也差不多啥都不会。
-
优良的拟合(Just right)
不论是训练集数据还是不在训练集中的预测数据,都能给出较为正确的结果。类似于,学霸学神!
-
过拟合(Overfitting)
能很好甚至完美拟合训练集中的数据,即
,但是对于不在训练集中的新数据,预测值和实际值的误差会很大,泛化能力弱,这类情况被称为过拟合。拟合模型过于复杂(特征选多了)时易出现这类情况。类似于,你上课跟着老师做题都会都听懂了,下课遇到新题就懵了不会拓展。
线性模型中的拟合情况(左图欠拟合,右图过拟合):

逻辑分类模型中的拟合情况:

为了度量拟合表现,引入:
-
偏差(bias)
指模型的预测值与真实值的偏离程度。偏差越大,预测值偏离真实值越厉害。偏差低意味着能较好地反应训练集中的数据情况。(偏差是针对预测值与真实值之间的差值,因此偏差大代表欠拟合。)
-
方差(Variance)
指模型预测值的离散程度或者变化范围。方差越大,数据的分布越分散,函数波动越大,泛化能力越差。方差低意味着拟合曲线的稳定性高,波动小。(方差是针对预测函数的波动。若函数过于复杂,波动剧烈,则方差大,出现过拟合。)
据此,我们有对同一数据的各类拟合情况如下图:

据上图,高偏差意味着欠拟合,高方差意味着过拟合。
我们应尽量使得拟合模型处于低方差(较好地拟合数据)状态且同时处于低偏差(较好地预测新值)的状态。
避免过拟合的方法有:
-
减少特征的数量
- 手动选取需保留的特征
- 使用模型选择算法来选取合适的特征(如 PCA 算法)
- 减少特征的方式易丢失有用的特征信息
-
正则化(Regularization)
- 可保留所有参数(许多有用的特征都能轻微影响结果)
- 减少/惩罚各参数大小(magnitude),以减轻各参数对模型的影响程度
- 当有很多参数对于模型只有轻微影响时,正则化方法的表现很好
7.2 代价函数(Cost Function)
很多时候由于特征数量过多,过拟合时我们很难选出要保留的特征,这时候应用正则化方法则是很好的选择



(惩罚程度)正则化参数类似于学习速率,也需要我们自行对其选择一个合适的值。
-
过大(theta参数趋近于零)
- 导致模型欠拟合(假设可能会变成近乎
的直线 ) - 无法正常去过拟问题
- 梯度下降可能无法收敛
- 导致模型欠拟合(假设可能会变成近乎
-
过小(theta并没有缩小达到收敛的效果)
- 无法避免过拟合(等于没有)
正则化符合奥卡姆剃刀(Occam's razor)原理。在所有可能选择的模型中,能够很好地解释已知数据并且十分简单才是最好的模型,也就是应该选择的模型。从贝叶斯估计的角度来看,正则化项对应于模型的先验概率。可以假设复杂的模型有较大的先验概率,简单的模型有较小的先验概率。
正则化是结构风险最小化策略的实现,是去过拟合问题的典型方法,虽然看起来多了个一参数多了一重麻烦,后文会介绍自动选取正则化参数的方法。模型越复杂,正则化参数值就越大。比如,正则化项可以是模型参数向量的范数。
7.3 线性回归正则化(Regularized Linear Regression)
应用正则化的线性回归梯度下降算法:




7.4 逻辑回归正则化(Regularized Logistic Regression)
为逻辑回归的代价函数添加正则化项:

而针对逻辑回归中更高级的算法,使用matlab内嵌函数求解,也只需更新相应的J,
。
第一步写costFunction()中求J以及偏导,都要调用正则化更新后的式子,再使用fuminunc()求得
最小值。
本文来自互联网用户投稿,文章观点仅代表作者本人,不代表本站立场,不承担相关法律责任。如若转载,请注明出处。 如若内容造成侵权/违法违规/事实不符,请点击【内容举报】进行投诉反馈!
