《Trust Region Policy Optimization》翻译
目录
摘要
一.介绍
二.前言
三.一般随机策略的单调改进保证
四.参数化策略的优化
五.基于样本的目标和约束估计
5.1单一的路径
5.2Vine
六.实用算法
七.与以前工作的联系
八.实验
8.1模拟机械运动
8.2从图像玩游戏
九.讨论
摘要
我们描述了一个迭代过程来优化策略,保证单调改进。通过对理论证明过程的几个近似,我们开发了一个实用的算法,称为信任区域策略优化(TRPO)。该算法类似于自然策略梯度法,对神经网络等大型非线性策略的优化是有效的。我们的实验证明了它在各种各样的任务上的稳健性能:学习模拟机器人游泳、跳跃和行走的步态;以及使用屏幕图像作为输入来玩雅达利游戏。尽管它的近似偏离了理论,TRPO倾向于给出单调的改进,很少调整超参数。
一.介绍
大多数策略优化算法可以分为三大类:(1)策略迭代方法,在估计当前策略下的价值函数和改进策略之间交替进行(Bertsekas, 2005);(2)策略梯度方法,它使用从样本轨迹获得的预期回报(总回报)的梯度估计(Peters & Schaal, 2008a)(我们稍后讨论,与策略迭代有密切联系);(3)无衍生优化方法,如交叉熵方法(CEM)和协方差矩阵自适应(CMA),它们将回报作为一个黑盒函数,以策略参数进行优化(Szita & Lörincz, 2006)。
一般的无导数随机优化方法,如CEM和CMA,在许多问题上都是首选的方法,因为它们既能取得良好的结果,又易于理解和实现。例如,尽管俄罗斯方块是近似动态规划(ADP)方法的经典基准问题,随机优化方法在这一任务上很难击败(Gabillon et al., 2013)。对于连续控制问题,当提供具有低维参数化的手工设计策略类时,像CMA这样的方法已经成功地学习了具有挑战性任务的控制策略,如运动(Wampler & Popovi´c, 2009)。ADP和基于梯度的方法无法始终击败无梯度的随机搜索,这并不令人满意,因为基于梯度的优化算法比无梯度的方法享有更好的样本复杂性保证(Nemirovski, 2005)。基于连续梯度的优化方法在学习函数逼近器方面非常成功,用于具有大量参数的监督学习任务,将其成功扩展到强化学习,将允许对复杂而强大的策略进行高效训练。
在本文中,我们首先证明最小化某个代理目标函数可以保证具有非平凡步长的策略改进。然后我们对理论证明的算法做了一系列近似,得到了一个实用的算法,我们称之为信任区域策略优化(TRPO)。我们描述了该算法的两种变体:第一,单路径方法,它可以应用于无模型设置;其次是vine方法,它要求将系统恢复到特定的状态,这通常只在模拟中可行。这些算法是可扩展的,可以优化具有数万个参数的非线性策略,这对以前的无模型策略搜索提出了重大挑战(Deisenroth等人,2013)。在我们的实验中,我们表明相同的TRPO方法可以学习游泳、跳跃和行走的复杂政策,以及直接从原始图像玩雅达利游戏。
二.前言
考虑一个由元组(S, A, P, r, ρ0, γ)定义的无限边界折扣马尔可夫决策过程(MDP),其中S是状态的有限集,A是行为的有限集,P: S × A × S→r是转移概率分布,r: S→r为奖励函数,ρ0: S→r为初始状态s0的分布,γ∈(0,1)为折现因子。
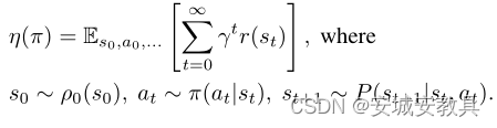
设π表示一个随机策略π: S × a→[0,1],设η(π)表示其预期折现奖励:

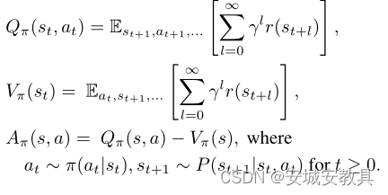
我们将使用状态-动作值函数Qπ、值函数Vπ和优势函数Aπ的以下标准定义:

以下有用的身份表示另一个政策的预期回报~ π就对π的优势而言,在时间步上累积(参见Kakade & Langford(2002)或附录A的证明):

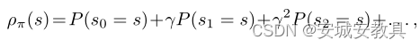
这里的符号Es0,a0,···~ π[…]]表示动作在~ ~ π(·|st)处采样。设ρπ为(非归一化)折现访问频率

其中s0 ~ ρ0,动作根据π选择。我们可以重写(1)式,用状态之和代替时间步:

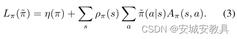
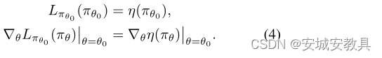
这个等式暗示任何策略更新π→˜π在每个状态s中有一个非负的预期优势,即P a˜π(a|s) a π(s, a)≥0,保证增加策略性能η,或在预期优势处处为零的情况下让它保持不变。这意味着通过精确的策略迭代执行更新的经典结果,其使用确定性策略˜π(s) = argmaxa a π(s, a),如果有至少一个具有正优势值和非零状态访问概率的状态-动作对,则改进策略,否则算法已经收敛到最优策略。然而,在近似设置中,由于估计和近似误差,它通常是不可避免的,将有一些状态s,其预期的优势是负的,即P a˜π(a|s) a π(s, a) < 0。ρ˜π(s) on˜π的复杂的依赖关系使得方程(2)很难直接优化。相反,我们引入以下η的局部逼近:

注意,Lπ使用访问频率ρπ而不是ρπ˜π,由于策略的变化忽略了状态访问密度的变化。然而,如果我们有一个参数化策略πθ,其中πθ(a|s)是参数向量θ的可微函数,那么Lπ将η匹配为一阶(参见Kakade & Langford(2002))。也就是说,对于任何参数值θ0,

方程(4)暗示一个足够小的步骤πθ0→~ π,改善了Lπθold也将改善η,但不给我们关于采取多大的一步的任何指导。
为了解决这一问题,Kakade和Langford(2002)提出了一种名为保守策略迭代的策略更新方案,他们可以为η的改善提供明确的下界。为了定义保守策略的迭代更新,让πold表示当前策略,让π0 =argmaxπ0 Lπold(π0)。新策略πnew被定义为以下混合物:

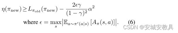
Kakade和Langford推导出下界如下:

(我们已经修改了它,使它稍微弱一些,但更简单。)然而,请注意,到目前为止,这个界限只适用于由式(5)生成的混合策略。在实践中,这种策略类别是笨拙的和限制性的,希望一个实际的策略更新方案适用于所有一般的随机策略类别。
三.一般随机策略的单调改进保证
式(6),适用于保守策略迭代,意味着一个改进右手的策略更新保证提高真实性能η。我们的主要理论结果是,通过在π和˜π之间用距离度量替换α,在方程(6)中绑定的策略改进可以扩展到一般的随机策略,而不是仅仅是混合策略,并改变常数?适当。由于混合策略在实践中很少使用,因此该结果对于将改进保证推广到实际问题至关重要。我们使用的特殊距离度量是总变异散度,它由离散概率分布p, q1的DT V (p k q) = 1 2 pi |pi−qi|定义定义DmaxTV (π,˜π)为

定理1。设α = DmaxTV (π旧,π新)。那么下面的界限成立:

我们在附录中提供了两份证明。第一个证明扩展了Kakade和Langford的结果,利用两个总变异散度小于α的分布的随机变量可以耦合,使它们与概率1−α相等的事实。第二个证明使用了微扰理论。
接下来,我们注意到总变异散度和KL散度之间的以下关系(Pollard (2000), Ch. 3): DT V (p k q)2≤DKL(p k q).让DmaxKL (π,˜π) = maxs DKL(π(·|s) k˜π(·|s))。下面的界可以直接从定理1得到:

算法1根据式(9)中的策略改进界描述了一个近似的策略迭代方案。注意,现在我们假设精确地评估优势值Aπ。
由式(9)可知,算法1保证生成η(π0)≤η(π1)≤η(π2)≤. . . .的单调改进序列看到这,我L Mi(π)=π(π)−CDmaxKL(π我,π)。然后

因此,通过在每次迭代中最大化Mi,我们可以保证真实的目标η是不减少的。这个算法是一种最小化最大化(MM)算法(Hunter & Lange, 2004),这是一类也包括期望最大化的方法。在MM算法术语中,Mi是在πi处用等号最小化η的代理函数。该算法也使人联想到近端梯度法和镜像下降法。

我们在下一节提出的信任区域策略优化是算法1的近似,该算法使用KL发散的约束而不是惩罚来稳健地允许大更新。
四.参数化策略的优化
在上一节中,我们独立于π的参数化来考虑策略优化问题,并且假设策略可以在所有状态下进行评估。我们现在描述如何从这些理论基础导出一个实用的算法,在有限的样本计数和任意参数化。
由于我们考虑参数化策略πθ(a|s)与参数向量θ,我们将超载我们以前的表示法来使用θ而不是π的函数,例如,η(θ):= η(πθ), Lθ(˜θ):= Lπθ(π ~ θ),和DKL(θ k˜θ):= DKL(πθ k π ~ θ)。我们将使用θold来表示我们想要改进的以前的策略参数。
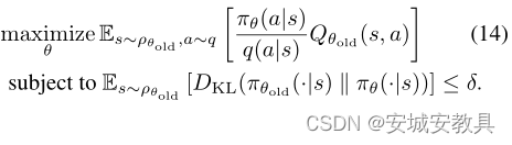
由上一节可知,η(θ)≥Lθold(θ)−CDmaxKL (θold, θ),在θ = θold处相等。因此,通过执行以下最大化,我们保证提高真实的目标η:

在实践中,如果我们使用上述理论推荐的惩罚系数C,步长会非常小。以稳健的方式采取更大的步骤的一种方法是对新策略和旧策略之间的KL分歧使用一个约束,即信任区域约束:

这个问题强加了一个约束,KL散度在状态空间的每一点都是有界的。虽然它是由理论驱动的,但由于有大量的约束,这个问题是不切实际的解决。相反,我们可以使用考虑平均KL散度的启发式近似:

因此,我们提出解决以下优化问题来生成策略更新:

在之前的工作中也曾提出过类似的策略更新(Bagnell & Schneider, 2003;Peters & Schaal, 2008b;Peters等人,2010),我们将我们的方法与之前第7节的方法和第8节的实验进行比较。
我们的实验还表明,这种类型的约束更新具有类似于公式(11)中的最大KL散度约束的经验性能。
五.基于样本的目标和约束估计
上一节提出了一个关于策略参数的约束优化问题(式(12)),该问题优化了在每次更新时策略变化的约束下预期总奖励η的估计值。本节介绍如何使用蒙特卡洛模拟来逼近目标函数和约束函数。
我们寻求解由(12)式中Lθold展开得到的以下优化问题:

我们首先替换P s ρθold(s)[…在目标中由期望1 1−γ Es ~ ρθold[…]. 接下来,我们将(13)式中的优势值a θold替换为q值Qθold,它只改变目标一个常数。最后,我们用一个重要抽样估计量来代替这些动作的总和。用q表示抽样分布,单个sn对损失函数的贡献为

我们在式(13)中的优化问题完全等价于下面这个,用期望来表示:


图1。左:单路径程序示意图。在这里,我们通过策略模拟生成一组轨迹,并将所有状态-动作对(sn, an)合并到目标中。右:vine程序插图。我们生成一组“主干”轨迹,然后从到达状态的子集生成“分支”展开。对于每个状态sn,我们执行多个操作(这里是a1和a2),并在每个操作后执行rollout,使用公共随机数(CRN)来减少方差。
剩下的就是用样本平均值代替期望,用经验估计代替Q值。以下部分描述了执行此评估的两种不同方案。
第一种抽样方案,我们称之为单路径,通常用于策略梯度估计(Bartlett & Baxter, 2011),并基于对个体轨迹的抽样。第二种方案称为vine,它包括构造一个rollout集,然后从rollout集中的每个状态执行多个操作。这种方法主要是在策略迭代方法的背景下进行探索(Lagoudakis & Parr, 2003;Gabillon et al., 2013)。
5.1单一的路径
在这个估计过程中,我们通过采样s0 ~ ρ0来收集一系列状态,然后在一定的时间步长内模拟策略πθold,得到一个轨迹s0, a0, s1, a1,…, sT−1,aT−1,sT。因此,q(a|s) = πθold(a|s)。Qθold(s, a)在每个状态-作用对(st, at)处通过沿轨迹取未来奖励的折现和来计算。
5.2Vine
在这个估计过程中,我们首先采样s0 ~ ρ0,并模拟策略πθi来产生多个轨迹。然后我们沿着这些轨迹选择N个状态的一个子集,表示为s1, s2,…, sN,我们称之为“rollout集合”。对于rollout集合中的每个状态sn,我们根据an, K ~ q(·|sn)对K个动作进行采样。任意选择包含πθi(·|sn)支持的q(·|sn),都会产生一致的估计量。在实践中,我们发现q(·|sn) = πθi(·|sn)在机器人运动等连续问题上效果很好,而均匀分布在离散任务上效果很好,如Atari游戏,有时可以实现更好的探索。
对于每个动作an,k,在每个状态sn采样,我们估计ˆQθi(sn, an,k)通过从状态sn和动作an,k开始执行滚出(即短轨迹)。我们可以通过对K次滚转的噪声使用相同的随机数序列,即普通随机数,来极大地减小滚转之间q值差的方差。参见(Bertsekas, 2005)关于q值蒙特卡罗估计的进一步讨论和(Ng & Jordan, 2000)关于强化学习中常见随机数的讨论。
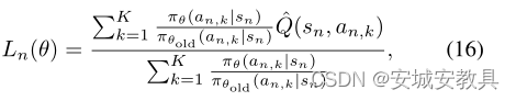
在小而有限的作用空间中,我们可以从给定的状态生成每个可能的作用的展开。单态sn对Lθold的贡献如下:

其中动作空间为A = {a1, a2,…,aK}。在大的或连续的状态空间中,我们可以利用重要抽样构造替代目标的估计量。在sn单态下得到的Lθold的自归一化估计(Owen(2013),第9章)为

假设我们做了K个动作an,1, an,2,…, an K来自状态sn。这种自归一化估计消除了使用q值基线的需要(注意,通过给q值添加一个常量,梯度是不变的)。对sn ~ ρ(π)平均,我们得到了Lθold的一个估计量及其梯度。
Vine和单路径方法如图1所示。我们使用vine这个术语,因为用于采样的轨迹可以比作Vine的茎,它在不同的点(展开集)分支成几个短分支(展开轨迹)。
与单路径方法相比,Vine的好处是我们对目标的局部估计有更低的方差给定相同数量的q值样本在代理目标。也就是说,vine方法对优势值给出了更好的估计。vine方法的缺点是,对于每个优势估计,我们必须对模拟器执行更多的调用。此外,vine方法要求我们从rollout集中的每个状态生成多个轨迹,这限制了该算法的设置,系统可以重置到任意状态。相比之下,单路径算法不需要状态重置,可以直接在物理系统上实现(Peters & Schaal, 2008b)。
六.实用算法
基于上述思想,本文提出了两种实用的策略优化算法,分别采用单路径和Vine采样方案。算法重复执行以下步骤:
1. 使用单路径或藤程序来收集一组状态-动作对以及它们的q值的蒙特卡洛估计。
2. 通过对样本平均,构造式(14)中的估计目标和约束。
3.近似求解约束优化问题,更新策略的参数向量θ。
我们使用共轭梯度算法,然后是直线搜索,它只比计算梯度本身稍微贵一点。详见附录C。
对于(3),我们通过解析计算KL散度的Hessian来构造Fisher信息矩阵(FIM),而不是使用梯度的协方差矩阵。也就是说,我们估计Aij为1 N PN N =1∂2∂θi∂θj DKL(πθold(·|sn) k πθ(·|sn)),而不是1 N PN N =1∂∂θi log πθ(an|sn)∂∂θj log πθ(an|sn)。解析估计器对每个状态sn处的动作进行积分,与采样的动作an无关。
如附录C所述,这种分析估计器在大规模设置中具有计算优势,因为它不需要从一批轨迹中存储密集的Hessian或所有策略梯度。策略的改进速度与实证FIM相似,如实验所示。
让我们简单总结一下第3节的理论和我们描述的实际算法之间的关系:
•该理论通过惩罚KL发散来优化替代目标。然而,较大的惩罚系数C会导致非常小的步长,所以我们想减小这个系数。经验上,惩罚系数的稳健选择是困难的,所以我们用硬约束代替惩罚,参数δ (KL散度的界)。
•DmaxKL (θold, θ)的约束难以进行数值优化和估计,因此我们转而约束DKL(θold, θ)。
•我们的理论忽略了优势函数的估计误差。Kakade & Langford(2002)在推导过程中考虑了这一错误,同样的论点也适用于本文的设置,但为了简单起见,我们省略了它们。
七.与以前工作的联系
正如在第4节中提到的,我们的派生产生了一个与之前的几个方法相关的策略更新,提供了关于许多策略更新场景的统一视角。对L进行线性逼近,对DKL约束进行二次逼近,得到的自然策略梯度(Kakade, 2002)作为式(12)更新的特例,会产生以下问题:

其中的步长1 λ通常被视为一个算法参数。这与我们的方法不同,我们的方法在每次更新时强制约束。虽然这种差异可能看起来很细微,但我们的实验表明,它显著提高了算法在较大问题上的性能。
我们还可以通过使用' 2约束或惩罚来获得标准策略梯度更新:

策略迭代更新也可以通过求解无约束问题最大化π Lπold(π)来得到,用式(3)定义的L来表示。
其他几种方法采用了类似于式(12)的更新。相对熵策略搜索(REPS) (Peters et al., 2010)约束状态-动作边缘p(s, a),而TRPO约束条件p(a|s)。与REPS不同,我们的方法不需要在内部循环中进行昂贵的非线性优化。Levine和Abbeel(2014)也使用了KL发散约束,但其目的是鼓励政策不偏离估计的动力学模型有效的区域,而我们不试图明确地估计系统动力学。Pirotta等人(2013)也建立和推广了Kakade和Langford的结果,他们从这里的算法得出了不同的算法。
八.实验
我们设计实验来调查以下问题:
1. 单路径和Vine采样程序的性能特点是什么?
2. TRPO与先前的方法(如自然政策梯度)有关,但有几个变化,最显著的是使用固定的KL散度而不是固定的惩罚系数。这如何影响算法的性能?

图2。用于运动实验的二维机器人模型。
从左至右:游泳者、跳跃者、步行者。由于驱动不足和接触不连续,料斗和步进器面临着特殊的挑战。

图3。神经网络用于运动任务(上)和玩雅达利游戏(下)。
3.TRPO能否用于解决具有挑战性的大规模问题?当应用于大规模问题时,在最终性能、计算时间和样本复杂性方面,TRPO与其他方法相比如何?
为了回答(1)和(2),我们比较了TRPO的单路径和Vine变量、几种衰减变量和一些先前的策略优化算法的性能。对于(3),我们证明了无论是单路径算法还是Vine算法都可以从零开始获得高质量的运动控制器,这被认为是一个难题。我们还表明,当使用带有数万个参数的卷积神经网络从图像中学习玩雅达利游戏的策略时,这些算法产生了竞争性的结果。
8.1模拟机械运动
我们使用MuJoCo模拟器进行机器人运动实验(Todorov et al., 2012)。三个模拟机器人如图2所示。机器人的状态为广义位置和广义速度,控制为关节力矩。由于接触造成的欠驱动、高维以及不光滑的动力学造成了这些非常具有挑战性的任务。我们的评估包括以下模型:
1. 游泳者。10维状态空间,向前进展的线性奖励和共同努力产生奖励r(x, u) = vx−10−5kuk2的二次惩罚。
游泳者可以通过做波浪运动来推动自己前进。
2. 漏斗,12维状态空间,和游泳者的奖励相同,处于非终点状态的奖励+1。当跳跃者摔倒时,我们结束了这一集,这是由躯干高度和角度的阈值定义的。
3.沃克,18维状态空间。对于步行者,我们增加了对双脚强烈撞击地面的惩罚,以鼓励平稳行走,而不是跳跃步态。
所有实验均采用δ = 0.01。详细的实验设置和参数请参见附录中的表2。我们使用神经网络来表示策略,其架构如图3所示,进一步的细节在附录d中提供。为了建立标准基线,我们还纳入了经典的手推车-杆平衡问题,该问题基于Barto等人(1983)的公式,使用了一个具有6个参数的线性策略,该策略很容易用无衍生黑盒优化方法进行优化。
在比较中考虑了以下几种算法:单路径TRPO;vine-TRPO;交叉熵法(CEM),一种无梯度方法(Szita & Lörincz, 2006);协方差矩阵自适应(CMA),另一种无梯度方法(Hansen & Ostermeier, 1996);自然梯度,经典的自然策略梯度算法(Kakade, 2002),不同于单一路径,它使用固定的惩罚系数(拉格朗日乘数)而不是KL发散约束;经验FIM,与单路径相同,不同之处在于FIM是用梯度的协方差矩阵估计,而不是用解析估计;max KL,它只适用于车杆问题,并使用(11)式中的最大KL散度,而不是平均散度,使我们可以评估这个近似的质量。实验中使用的参数在附录e中提供。对于自然梯度法,我们在3个因子中扫描步长可能的值,根据最终的性能取最佳值。
图4所示的学习曲线显示了每种算法运行5次后的平均总奖励。单路径和vine TRPO解决了所有问题,得到了最佳解。自然梯度在两个较简单的问题上表现良好,但不能产生向前进步的跳跃和行走步态。这些结果提供了实证证据,表明与使用固定的KL散度惩罚相比,约束KL散度是一种更稳健的选择步长和取得快速、一致进展的方法。CEM和CMA是无导数的算法,因此它们的样本复杂度随参数数量的增加而增加,在较大的问题上表现不佳。最大KL方法比我们最后的方法学习得慢一些,因为约束的形式更严格,但总的来说,结果表明平均KL散度约束与理论证明的最大KL散度有类似的效果。TRPO了解到的政策视频可在项目网站浏览:http://sites.google.com/
site/trpopaper/.
注意TRPO通过通用策略和简单的奖励函数学习所有的步态,使用最小的先验知识。这与大多数先前的运动学习方法形成了对比,后者通常依赖于手工构建的策略类,这些策略类显式编码了平衡和步进的概念(Tedrake等人,2004;耿等,2006;Wampler & Popovi´c, 2009)。
8.2从图像玩游戏
为了评估带有复杂观察的部分观察任务上的TRPO,我们使用原始图像作为输入,训练玩Atari游戏的策略。游戏要求玩家学习各种各样的行为,比如躲避子弹和用球拍击球。除了高维度,这些游戏的挑战元素还包括延迟奖励(当玩家在《Breakout》或《Space Invaders》中失去一条生命时,不会立即受到惩罚);复杂的行为序列(游戏邦注:《Q*bert》要求角色在21个不同平台上跳跃);和非平稳图像统计(Enduro涉及变化和闪烁的背景)。
我们在相同的7款游戏(Mnih et al., 2013)和(Guo et al., 2014)中测试了我们的算法。图像按照Mnih等人(2013)的协议进行预处理,策略由卷积神经网络表示,如图3所示,两个卷积层有16个通道和步幅2,然后是一个全连接层,有20个单元,产生33,500个参数。
表1总结了vine和单路径算法的结果,其中还包括一个专家的人类表现和两种最近的方法:深度q -学习(Mnih等人,2013年),以及蒙特卡洛树搜索与监督训练的组合(Guo等人,2014年),称为UCC-I。在16核的计算机上,我们的算法的500次迭代花费了大约30个小时(游戏邦注:游戏间略有变化)。虽然我们的方法只在某些游戏中超过了之前的方法,但它始终能够获得合理的分数。与之前的方法不同,我们的方法不是专门为这个任务设计的。将相同的策略搜索方法应用到机器人运动和基于图像的游戏玩法等方法的能力表明了TRPO的一般性。
九.讨论
提出并分析了随机控制策略优化的信赖域方法。我们证明了一种算法的单调改进,该算法使用KL发散惩罚反复优化对政策预期回报的局部逼近,并且我们证明了对该方法的逼近,结合了KL发散约束,在一系列具有挑战性的政策学习任务中取得了良好的经验结果,优于之前的方法。我们的分析还提供了一个统一策略梯度和策略迭代方法的视角,并表明它们是一种算法的特殊极限情况,以优化受信任区域约束的特定目标。
在机器人运动领域,我们成功地在物理模拟器中学习了游泳、行走和跳跃的控制器,使用通用神经网络和最小信息奖励。据我们所知,在之前的工作中,没有人使用通用的策略搜索方法和非工程的、通用的策略表示,从头开始学习所有这些任务的控制器。在游戏领域,我们学习了使用原始图像作为输入的卷积神经网络策略。这需要优化极其高维的策略,而之前只有两种方法报告了此任务的成功结果。
由于我们提出的方法是可扩展的,并具有强大的理论基础,我们希望它将作为一个起点,为一系列具有挑战性的问题训练大型、丰富的函数逼近器。在我们探索的两个实验领域的交集,有可能学习机器人控制策略,使用视觉和原始感觉数据作为输入,提供一个统一的方案来训练机器人控制器,执行感知和控制。使用更复杂的策略,包括带有隐藏状态的循环策略,可以进一步使状态估计和控制在部分观察的设置中滚动到相同的策略成为可能。通过将我们的方法与模型学习相结合,也有可能大大降低其样本的复杂性,使其适用于样本昂贵的现实世界设置。
本文来自互联网用户投稿,文章观点仅代表作者本人,不代表本站立场,不承担相关法律责任。如若转载,请注明出处。 如若内容造成侵权/违法违规/事实不符,请点击【内容举报】进行投诉反馈!
