改进型Hénon混沌映射(含MATLAB代码)
一、改进型Hénon混沌映射
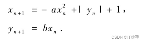
混沌映射是生成混沌序列的一种方法,常见的混沌映射方式有 Logistic映射、Tent映射、Circle映射,文献[1]提出一种改进型Hénon混沌映射:

二、参考代码
当a=0.6,b=0.7,x(1)=rand,y(1)=rand时:
close all
clear
clc
x(1)=rand;
y(1)=rand;
a=0.6;
b=0.7;
for i=1:7999x(i+1)=-a*x(i).^2+abs(y(i))+1;y(i+1)=b*x(i);
end
figure
plot(x,'.')
xlabel('维度')
ylabel('x混沌值')
figure
hist(x)
xlabel('x混沌值')
ylabel('频数')
figure
plot(y,'.')
xlabel('维度')
ylabel('y混沌值')
figure
hist(y)
xlabel('y混沌值')
ylabel('频数')
figure
plot(x,y,'.')
xlabel('x')
ylabel('y')
三、实验结果
3.1x混沌序列值


3.2y混沌序列值


由此可以看出x混沌值处于[-1.915,2.269]之间,y混沌值处于[-1.341,1.589]之间。
参考文献:
[1]李家标,曾以成,陈仕必,陈家胜.改进型Hénon映射生成混沌伪随机序列及性能分析[J].物理学报,2011,60(06):126-130.
本文来自互联网用户投稿,文章观点仅代表作者本人,不代表本站立场,不承担相关法律责任。如若转载,请注明出处。 如若内容造成侵权/违法违规/事实不符,请点击【内容举报】进行投诉反馈!
