电力电子技术笔记-整流电路5
电容滤波的不可控整流电路
在交—直—交变频器、不间断电源、开关电源等应用场合中,大量应用。
最常用的是单相桥和三相桥两种接法。
由于电路中的电力电子器件采用整流二极管,故也称这类电路为二极管整流电路。

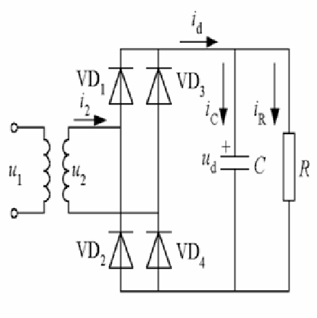
1、电容滤波的单相不可控整流电路
常用于小功率单相交流输入的场合,如目前大量普及的微机、电视机等家电产品中。
基本工作过程:

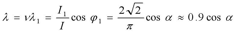
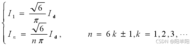
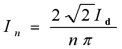
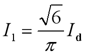
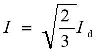
在u2 正半周过零点至wt=0期间,因u2 至wt=0 之后,u2 将要超过ud,使得VD1和VD4开通,ud=u2,交流电源向电容充电,同时向负载 R 供电。 主要的数量关系 输出电压平均值 空载时: 重载时, 在设计时,根据负载的情况选择电容C 值,使 此时输出电压为: 电流平均值 输出电流平均值IR为:IR = Ud /R Id = IR 二极管电流 iD平均值为:ID = Id / 2=IR/ 2 二极管承受的电压为: 实际广泛应用的电路:感容滤波的二极管整流电路 电路特点: ud波形更平直,电流i2的上升段平缓了许多,这对于电路的工作是有利的。 基本原理:某一对二极管导通时,输出电压等于交流侧线电压中最大的一个,该线电压既向电容供电,也向负载供电。 当没有二极管导通时,由电容向负载放电,ud按指数规律下降。 电流id 断续和连续的临界条件: 在轻载时,直流侧获得的充电电流是断续的: 在重载时,直流侧获得的充电电流是连续的: 主要数量关系 输出电压平均值: Ud 在(2.34U2 ~2.45U2)之间变化 电流平均值 输出电流平均值IR为: IR = Ud /R 与单相电路情况一样,电容电流iC平均值为零,则Id = IR 二极管电流平均值为Id的1/3,即: ID = Id / 3=IR/ 3 二极管承受的最大反向电压为线电压的峰值,即 随着电力电子技术的发展,其应用日益广泛,由此带来的谐波(harmonics)和无功(reactive power)问题日益严重,引起了关注。 1 、谐波和无功功率分析基础 谐波和功率因数的关系 电网施加给负载的电压为正弦信号,但负载从电网索取的电流是否也为正弦信号,则取决于负载是线性还是非线性的。 线性负载:如R,L,C等,电流为同频正弦波。 非线性负载:如电力半导体设备,尤其是常用的SCR整流, 电流变为非正弦信号。 基波与谐波:非正弦电流展开傅氏级数。 频率仍与工频相同的分量称为基波;频率为基波频率整数倍的分量称为谐波。 电流谐波总畸变率: 通常公用电网中的电压波形畸变很小,而电流波形畸变可能很大,故在分析中,将电压视为正弦,电流为非正弦,具有实际意义。 非正弦电路的有功功率 : P = U I cosφ 功率因数为: 基波(畸变)因数—— 即基波电流有效值和总电流有效值之比 位移因数(基波功率因数)—— cosφ 功率因数由基波电流相移和电流波形畸变这两个因素共 同决定的。 1、单相桥式全控整流电路(阻感负载) 忽略换相过程和电流脉动,在大L-R(E)负载时,变压器副边电流 i2 为近似180°正负对称方波。 变压器二次侧电流谐波分析: 基波与各次谐波电流有效值之间关系为 功率因数计算 基波电流有效值为 i2的有效值 I = Id,结合上式可得基波因数为 电流基波与电压的相位差就等于控制角α,故位移因数为 则,功率因数为 2、三相桥式全控整流电路(阻感负载) L很大时,id近似恒流Id,ia比ua滞后角为 变压器二次侧电流谐波分析: 基波与各次谐波电流有效值为 功率因数计算 基波电流有效值为 基波因数为 位移因数为 则,功率因数为![]()
,即接近电阻负载时的特性。![]()
![]()
![]()

2、电容滤波的三相不可控整流电路

![]()
![]()
![]()

。整流电路的谐波和功率因数

---- 总谐波电流的有效值
---- 基波电流的有效值
![]()
2 、阻感负载整流电路交流侧谐波和功率因数分析

n=1,3,5,…![]()
![]()
![]()

, ia为近似1200正负对称方波,总有效值为![]()

![]()
![]()
![]()

本文来自互联网用户投稿,文章观点仅代表作者本人,不代表本站立场,不承担相关法律责任。如若转载,请注明出处。 如若内容造成侵权/违法违规/事实不符,请点击【内容举报】进行投诉反馈!
