全国大学生数学竞赛非数学类初赛——求极限汇总
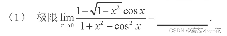
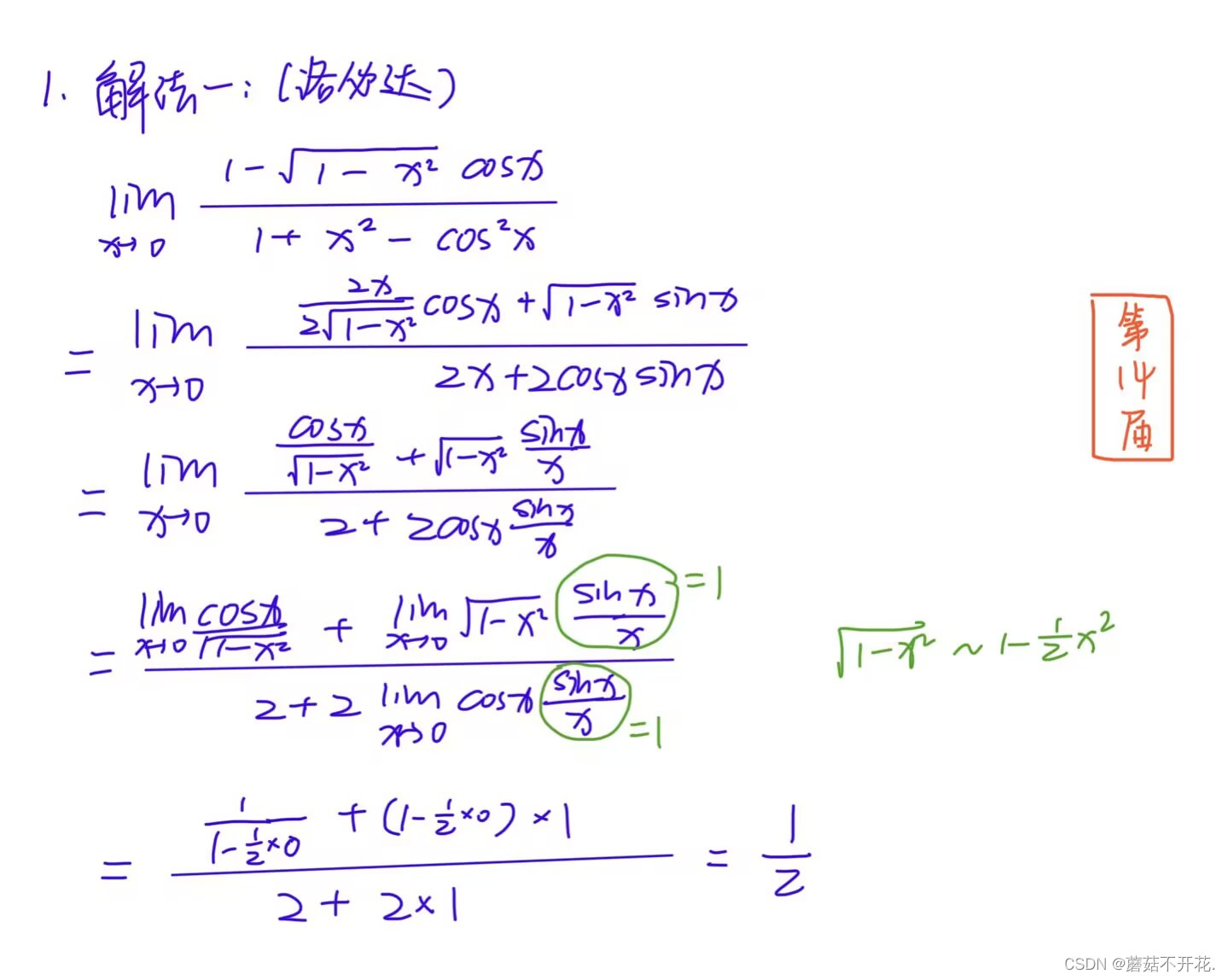
第14届:



第13届:


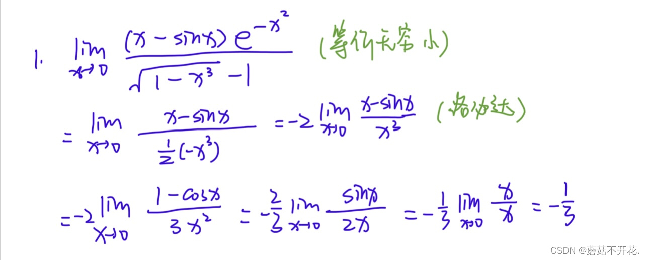
第12届:


注:此处的等价无穷小为1,详细可见上一篇文章。
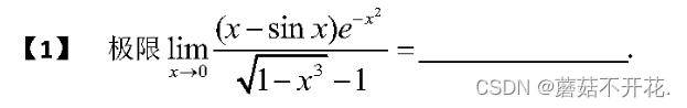
第11届:


第10届:


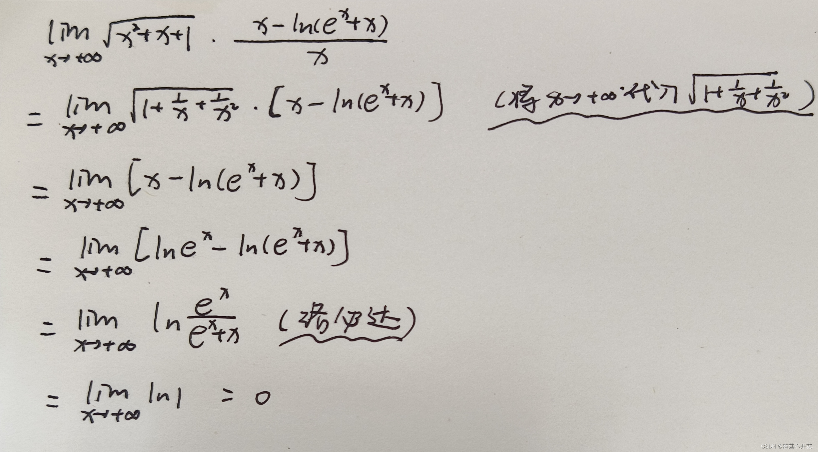
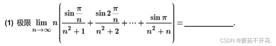
第9届:


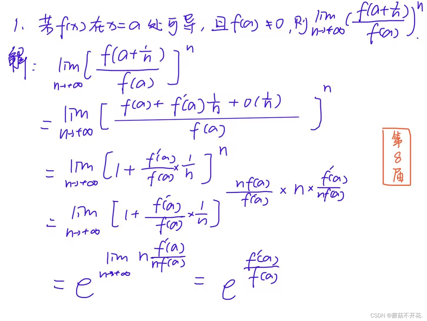
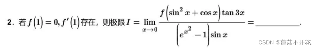
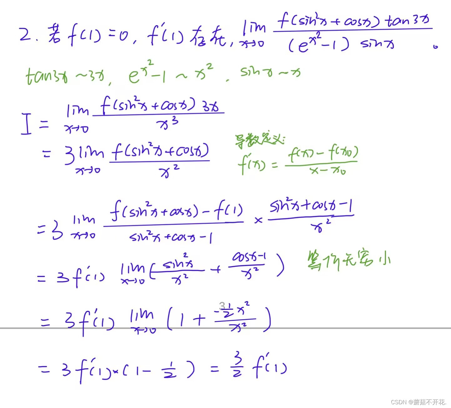
第8届:


注:第一步到第二步用到了带皮亚诺余项的泰勒公式。
带皮亚诺余项的泰勒公式:
条件:f(x)在处有n阶导数;
结论:在的邻域内,有
,
其中。
在本题中,。


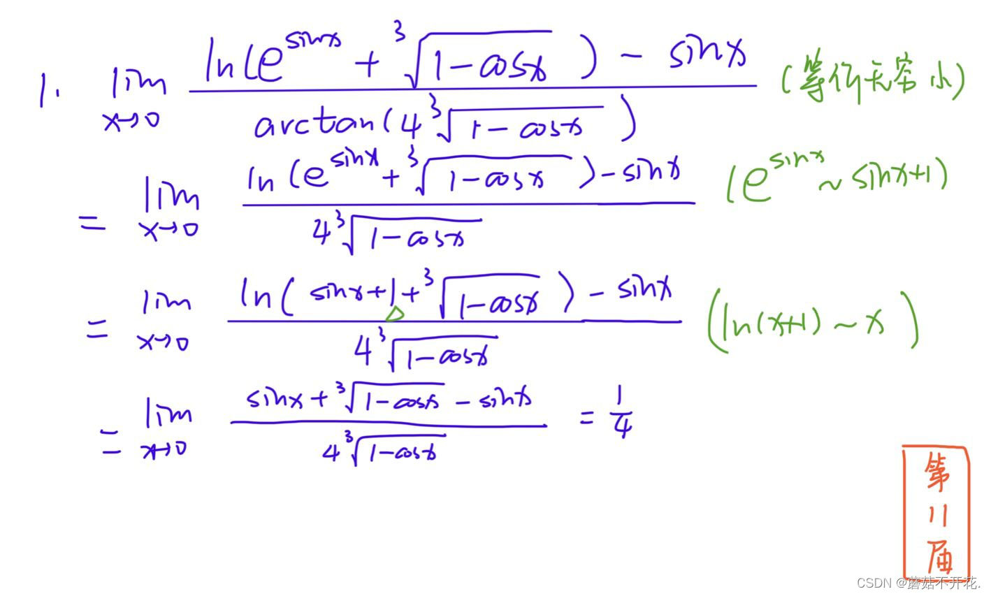
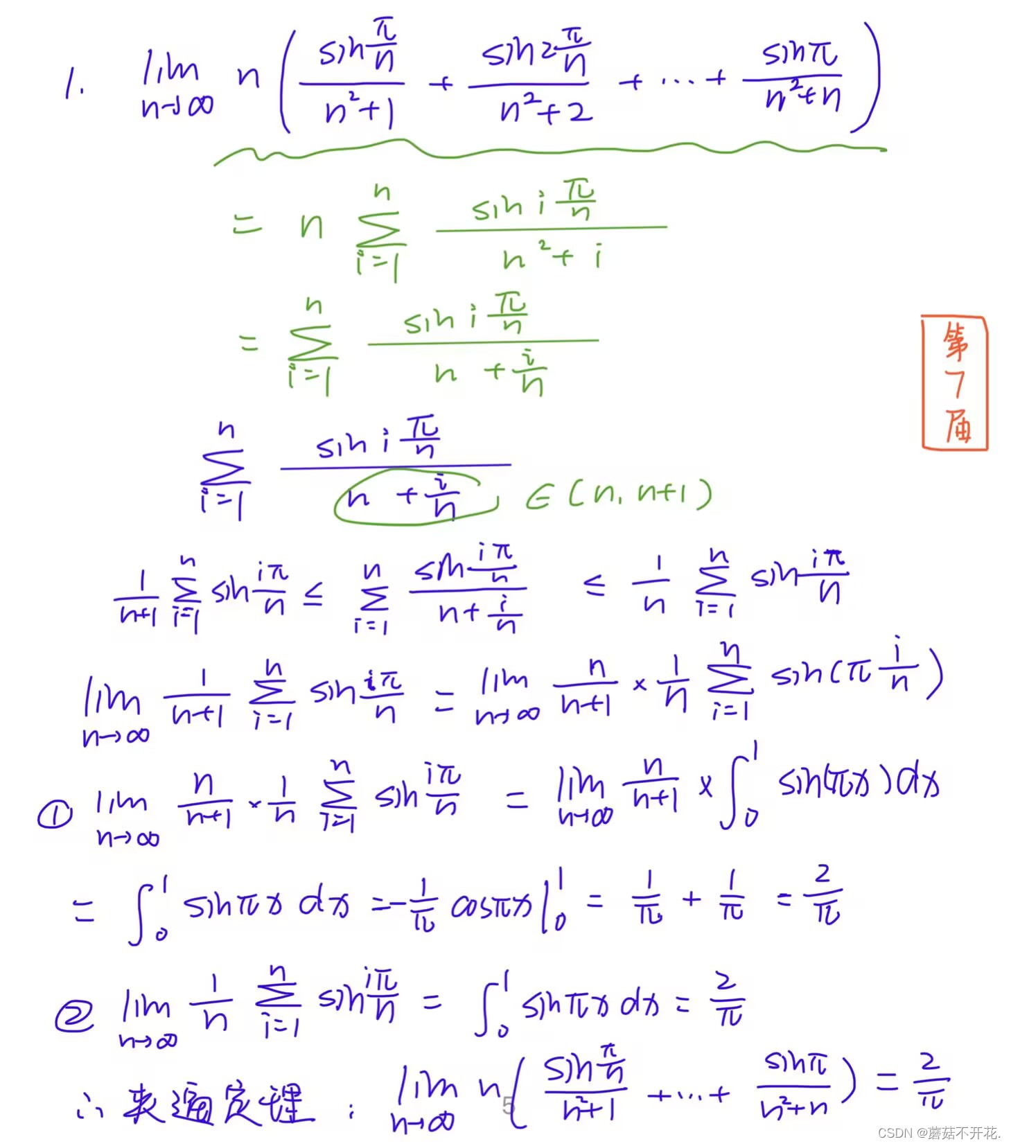
第7届:


注:①和②两个式子的转化用到了定积分的定义公式,推导过程如下:
第6届:




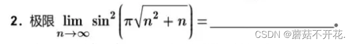
第5届:

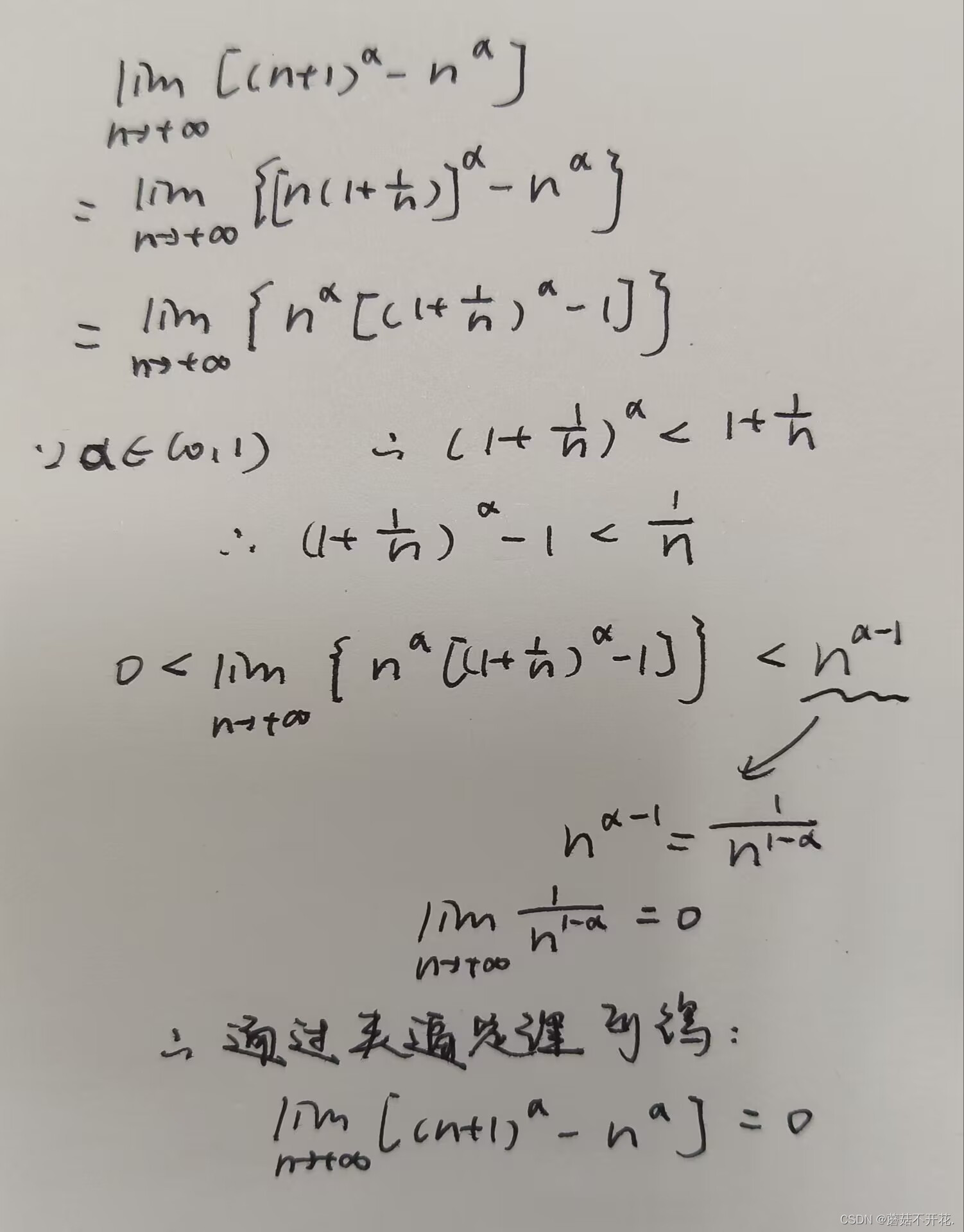
第4届:


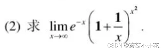
第3届:


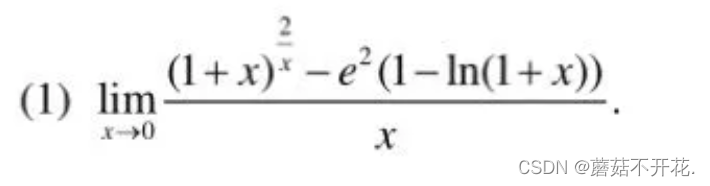
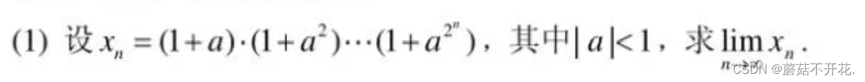
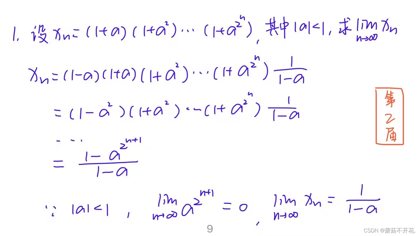
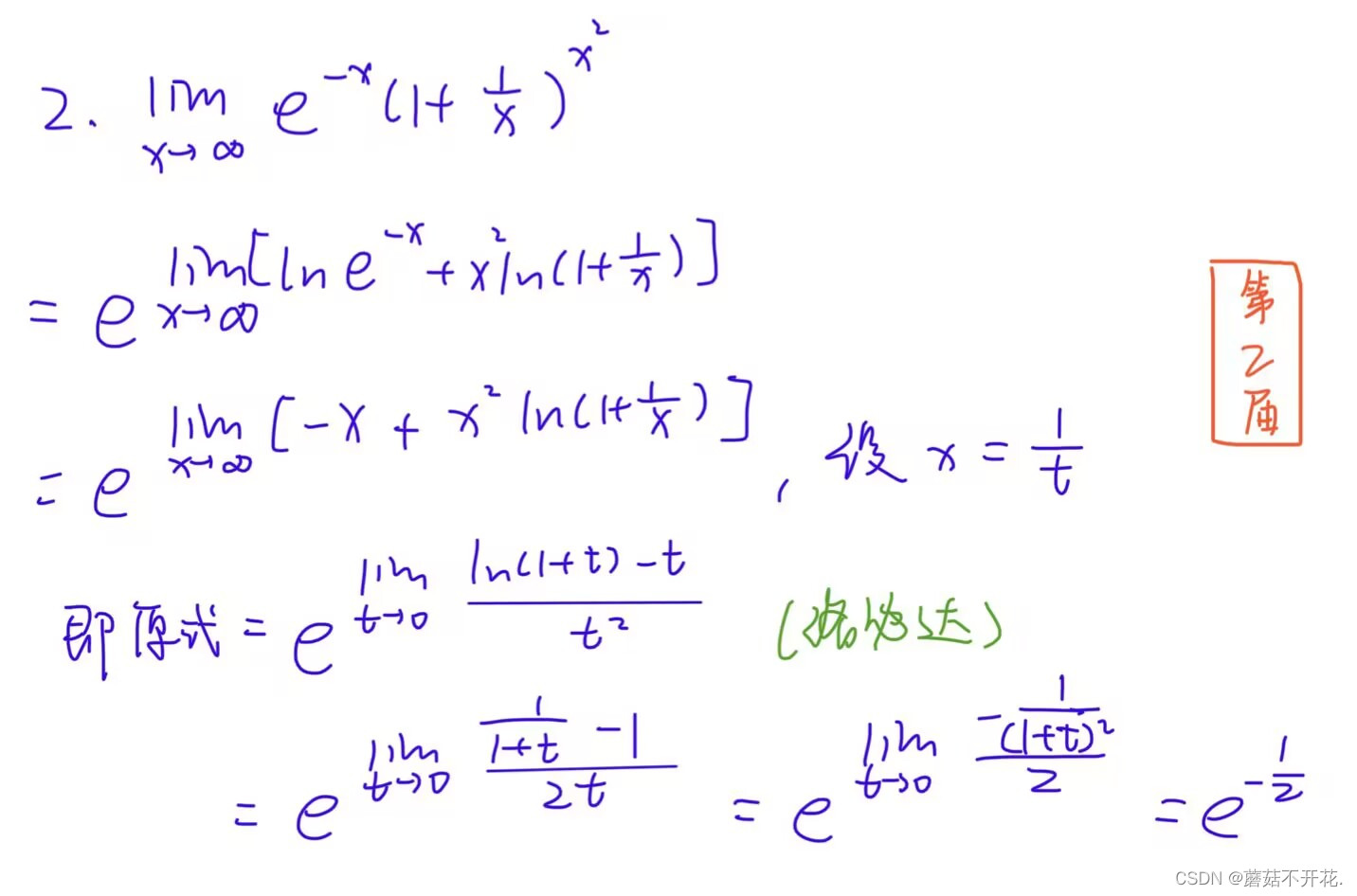
第2届:




注:关于这题的其他解答方法我还尚存一些疑问,如果解决了,会在后续文章中解释~所以暂时只展示这一种方法。
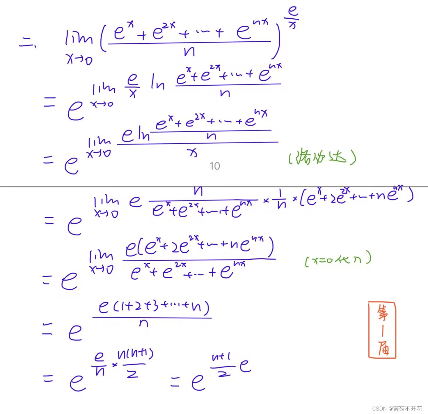
第1届:


以上就是一到十四届全国大学生数学竞赛非数学类初赛的极限题了。
本文来自互联网用户投稿,文章观点仅代表作者本人,不代表本站立场,不承担相关法律责任。如若转载,请注明出处。 如若内容造成侵权/违法违规/事实不符,请点击【内容举报】进行投诉反馈!
