关于举办2023年第十五届全国大学生数学竞赛通知(备考指南)
关于举办2023年第十五届全国大学生数学竞赛通知(备考指南)
大学竞赛君2
大学竞赛君,专注于各类赛事辅导,诚信做人,认真做事
关于举办2023年第十五届全国大学生数学竞赛通知(备考指南)


下面小编用十四届真题为大家介绍一下全国大学生数学竞赛
第十四届大学生数学竞赛决赛
数学类/非数类真题及答案解析可打印版.pdf



篇幅有限获取完整版请扫码添加老师
即可免费领取所有数学竞赛资料


找客服 mygzs2019 免费领取
一数学竞赛基本情况01初赛时间2023年第十五届全国大学生数学竞赛初赛11月11日(星期六)上午9:00-11:30举行
02赛区划分以省、市、自治区作为赛区,军队院校为一个独立赛区
03奖项设置初赛奖项各赛区分别评选
一等奖:前8%
二等奖:前12%
三等奖:前15%以上是省级奖项,具体奖项设置看学校规定
二如何准备数学竞赛01时间安排充分利用暑假时间,先根据竞赛考纲复习一遍上下册,主要刷考验题和竞赛题,及时回顾整理的题目,注意整理错题难题。
冲刺阶段:秋季学期开学-比赛前,一定要放平心态,复习教材、刷题、整理回顾错题
扫码报名免费加入数学竞赛交流群,与备赛大佬们互相交流问答,还有更多竞赛资讯及一手资料分享!备战2023年大学生数学竞赛,有这个就够了!
02应该具备的基础 需要辅导的可联系客服mygzs2019
①常用泰勒展开式(这里是泰勒级数,竞赛中多用于求极限)

②泰勒公式的应用

③常用求导公式

④常用积分表

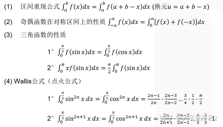
⑤常用定积分处理手段(多元积分会有轮换对称)

⑥理解重要定理和公式(注意细节!)

三刷题的中心思想①填空题按计算题做,再去想填空题专用方法
②计算题和证明题每一步都要写清楚,确定使用定理的前提是完备的
四如何整理错题和重要题①写清楚每一个步骤
②对不熟悉的题标注知识点

③泛化证明题的结论

④归纳题干条件和解法思路的关系(思维导图)

一些可能有用的策略:对考试内容作出适当取舍是明智的;千万别纠结于一道难题。
全国大学生数学竞赛非数类的备赛建议,到这里就结束啦!
相信经过精心的准备与努力,大家都能收获满意的成绩!
大家可以参加第六届全国大学生数学网络挑战赛练练
2023年第六届全国大学生数学竞赛网络挑战赛
本文来自互联网用户投稿,文章观点仅代表作者本人,不代表本站立场,不承担相关法律责任。如若转载,请注明出处。 如若内容造成侵权/违法违规/事实不符,请点击【内容举报】进行投诉反馈!
