控制系统仿真技术(四)-动态仿真集成环境simulink
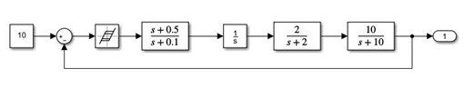
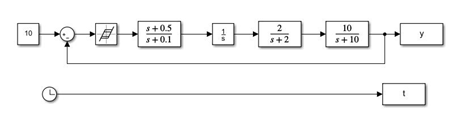
1.已知系统结构如下图所示,分别用3种方式(Scope、Out1、To Workspace)得到Simulink仿真结果。



菜单栏Simulink进去Model Configuration Parameters点进去,选择Data Import/Export,将Format修改为Array,并注意你的Time和Output的变量名,会影响你的绘图

注意仿真结束回到命令行窗口绘图时,要注意plot(t,y)时,t和y就是你上面的Time和Output,且大部分版本还要加out.
所以正确写法为plot(out.tout,out.yout)
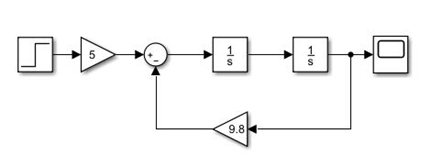
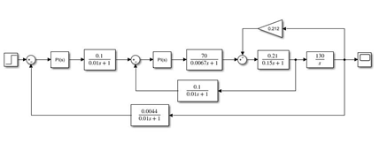
2. 下图为直流电机的双闭环系统框图。
其中 ,Kp1=37.9118,Ki1=12.1855,Kp2=10.8485,Ki2=0.9591
(1) 建立该系统的Simulink模型;
(2) 采用合适的步长和仿真时间,给出其单位阶跃响应。
(3)采用线性化的方法求该系统的传递函数模型,进一步求单位阶跃响应,并与Simulink仿真结果进行对比。(提示:可尝试使用linearize()函数求其模型,step()函数生成单位阶跃响应)
>> [A,B,C,D]=linmod('ex_20_dj')
>> [num,den]=ss2tf(A,B,C,D);
>> G=tf(num,den)
G =7.821e09s^6+3.132e12s^5+4.705e14s^4+3.148e16s^3+7.949e17s^2+3.215e17s+2.223e16------------------------------------------------------------------------------------------------------------------s^10 + 655.9 s^9 + 1.79e05 s^8 + 2.77e07 s^7 + 2.8e09 s^6+ 1.976e11 s^5 + 9.523e12 s^4 + 2.761e14 s^3+ 3.555e15 s^2 + 1.413e15 s + 9.781e13>> step(G)
3.摆锤系统模型是一个由不可伸缩的细线(质量不计)吊装小球在中垂线两侧做往复运动的物理模型,如图所示。

(1) 控制力矩 Tc=1N`m


(2)设前1.6s内控制力矩为一脉冲,即当0<=t<=1.6时,Tc=1.1Nm剩余时间 为零。


Simulink建模如下:
Solver参数调整如下:
y1、y2输出如下:

本文来自互联网用户投稿,文章观点仅代表作者本人,不代表本站立场,不承担相关法律责任。如若转载,请注明出处。 如若内容造成侵权/违法违规/事实不符,请点击【内容举报】进行投诉反馈!
