最速下降法牛顿法matlab实现
文章目录
- 牛顿法
- matlab实现
- 参考
牛顿法
牛顿法主要应用在两个方面, 1, 求方程的根; 2, 最优化。
牛顿法是收敛速度最快的方法,其缺点在于要求Hessian矩阵(二阶导数矩阵)。牛顿法与梯度法很相似,先说一下梯度法:1是求梯度,也就是斜率,梯度就是函数变化比较大的地方,取它的反方向。2是求步长,就是每一步走多远。可以这样理解,假如你站在山上的某一个位置,你想最快的下山,你是不是一步一步的走。首先在你现在这个位置确定你往那个方向走,然后再确定你走多远,到了另一个位置,是不是也要确定你的方向,然后走多远,你不可能沿着一个方向走吧。
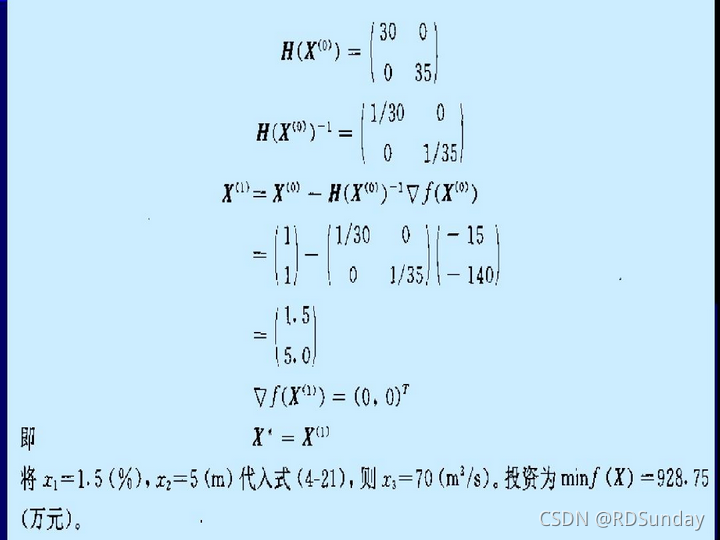
下图已经详细的介绍了牛顿法。



matlab实现
function [min_x,min_f,k] =steepEst_3(f,x0,var,eps)
%%%f是目标函数,x0是初始点,以及自变量var和精度eps
%%%利用牛顿法计算无约束目标函数的极小值
%%%输出最小值点min_x,min_f事最小值,以及迭代次数
syms a; %创建一个符号变量
ff=sym(f);
j=jacobian(f,var); %计算函数的雅可比矩阵,
falg=1; %!!!知识点:梯度恰好是雅可比矩阵的转置;
x=x0;
k=0; %计数器;
while falgg=(double(subs(j,var,x))); %subs函数;不明白的可以去问问度娘!%意思就是让该函数的雅克比矩阵中的var变量换成初始值if norm(g,2)>eps
% disp()%算法停止标准;f_a=subs(ff,var,x-a*g); % 对输入的函数f的var变量换成x-a*gf_diff = simplify(diff(f_a,a)); alpha = max(double(solve(f_diff))); %求解步长\alpha,solve用来求解解线性方程组的解析解或者精确解x=double(x-alpha*g); %产生新迭代点;k=k+1;elsebreakend
end
min_x=x; %最优解
min_f=subs(f,var,min_x); %目标函数最小值。

参考
机器学习中梯度下降法和牛顿法的比较
梯度下降法和牛顿法的总结与比较
本文来自互联网用户投稿,文章观点仅代表作者本人,不代表本站立场,不承担相关法律责任。如若转载,请注明出处。 如若内容造成侵权/违法违规/事实不符,请点击【内容举报】进行投诉反馈!
