数学分析 - 定积分的应用

平面图形的面积
1,上下两条曲线和两侧两侧x=a,x=b所围成的面积(转换x,y轴,使积分变量改变也可以达到这种形状)

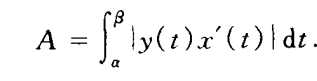
2,由参数方程曲线即两侧x=a,x=b和 x轴所围成的图形

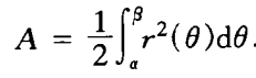
3,由极坐标方程确定的扇形面积

由平行截面面积求体积
记Ω为位于平面a,b中的立体,称其为位于[a,b]的立体,若在任意一点x∈[a, b]处作垂直于x轴的平面,截面面积记为A(x),x∈[a, b],称A(x)为Ω的截面面积函数
|| 已
本文来自互联网用户投稿,文章观点仅代表作者本人,不代表本站立场,不承担相关法律责任。如若转载,请注明出处。 如若内容造成侵权/违法违规/事实不符,请点击【内容举报】进行投诉反馈!
