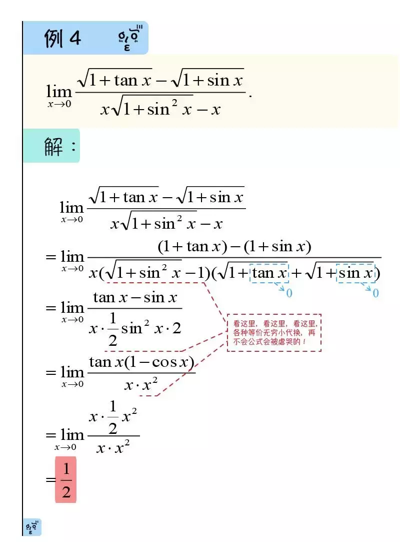
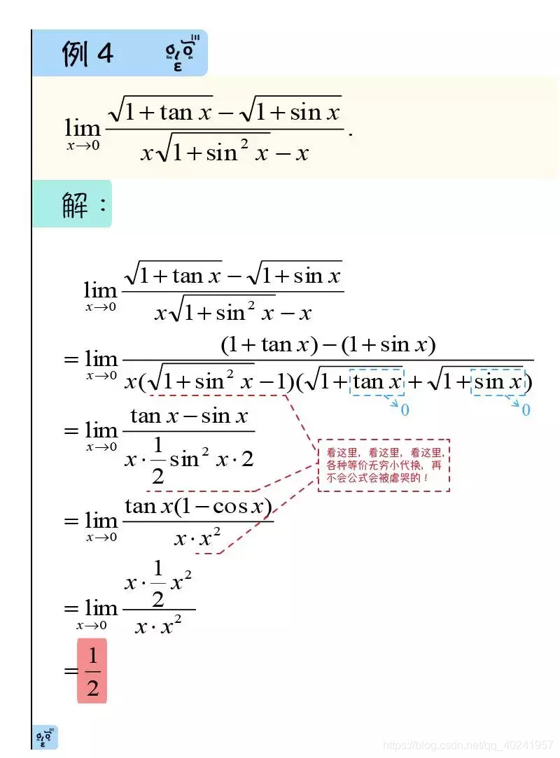
定理一
在某点连续的有限个函数经有限次和,积,商(分母不为 0) 运算,结果仍是一个在该点连续的函数。
定理二
连续单调递增 (递减)函数的反函数,也连续单调递增 (递减)。
定理三
连续函数的复合函数是连续的。



复合函数里有指数函数的,可以包含对数函数的指数函数来求。



本文转载自:https://www.jianshu.com/p/6453fc1a9e52
本文来自互联网用户投稿,文章观点仅代表作者本人,不代表本站立场,不承担相关法律责任。如若转载,请注明出处。 如若内容造成侵权/违法违规/事实不符,请点击【内容举报】进行投诉反馈!