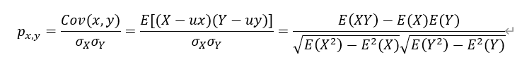
皮尔逊(Pearson)计算
pearson是计算两组数据相关性的方法,具体公式如下所示:

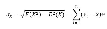
注释:Cov(x,y)是协方差,x、y变化趋势一致时,cov结果为正,变化趋势相反时,结果为负值,当趋势没有相关性的情况下,数值非常小。表示标准差,反映了数值的波动性。
解释:
暂时先不写解释,但是需要证明如下:

当X事件与Y事件完全不相关时,E(XY) = E(X)E(Y) ,则E(XY) - E(X)E(Y) = 0。
当X时间与Y时间完全相关时,E(X)E(Y) =0,因此E(XY) = X 和 Y的方差之积,此时比值为1,具体证明过程,我需要有时间才能证明,留一个坑。
本文来自互联网用户投稿,文章观点仅代表作者本人,不代表本站立场,不承担相关法律责任。如若转载,请注明出处。 如若内容造成侵权/违法违规/事实不符,请点击【内容举报】进行投诉反馈!
