伯努利分布、二项分布以及多项分布
每一个结果可能出现也可能不出现,对于每个事件而言出现的可能性就是 概率。而 分布,就是衡量一个概率有多大。
伯努利分布
是假设一个事件只有发生或者不发生两种可能,并且这两种可能是固定不变的。那么,如果假设它发生的概率是p,那么它不发生的概率就是1-p。这就是伯努利分布。
伯努利实验就是做一次服从伯努利概率分布的事件,它发生的可能性是p,不发生的可能性是1-p。
二项分布
二项分布是多次伯努利分布实验的概率分布。
以抛硬币举例,在抛硬币事件当中,每一次抛硬币的结果是独立的,并且每次抛硬币正面朝上的概率是恒定的,所以单次抛硬币符合伯努利分布。我们假设硬币正面朝上的概率是p,忽略中间朝上的情况,那么反面朝上的概率是q=(1-p)。我们重复抛n次硬币,其中有k项正面朝上的事件,就是二项分布:

其中
。
多项式分布
多项分布是在二项分布的基础上进一步的拓展。
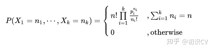
某随机实验如果有k个可能结局A1、A2、…、Ak,分别将他们的出现次数记为随机变量X1、X2、…、Xk,它们的概率分布分别是p1,p2,…,pk,那么在n次采样的总结果中,A1出现n1次、A2出现n2次、…、Ak出现nk次的这种事件的出现概率P有下面公式:
另一种形式:

本文来自互联网用户投稿,文章观点仅代表作者本人,不代表本站立场,不承担相关法律责任。如若转载,请注明出处。 如若内容造成侵权/违法违规/事实不符,请点击【内容举报】进行投诉反馈!
