眼图分析Ⅱ
引用一句考研人常说的话,
“我不得不考虑,这会不会是我此生最后的机会”
聊以自勉
眼图分析学习Ⅱ
文章目录
- **眼图分析学习Ⅱ**
- 一、VerifyEye
- VerifyEye眼图生成对应方法:Edge-Based Statistical Approach
- 二、眼图分析
- 补充
一、VerifyEye
本文接上文:眼图分析学习
上次讲到VerifyEye眼图对应方法。我们就从这里开始
参考论文:An Electrical-Level Superposed-Edge Approach to Statistical Serial Link Simulation
VerifyEye眼图生成对应方法:Edge-Based Statistical Approach
VerifyEye使用Edge-Based Statical Approach得到眼图或者误码率。这个方法是在pulse-based Statical Approach 方法基础上得到,总的来说还是利用统计的方法,先得到它的PDF,然后根据PDF得到误码率、ISI、Bath_tub等一系列结果。
接收端的信号用边沿表示,可以表示成如下形式,其中VR是上升沿响应,VF是下降沿响应

我们希望通过边沿信号叠加的方式求出接收端信号的PDF,但是边沿和pulse存在区别,他们是相关的(在pulse-based的方法中,有一个推导假设:信号输入未经过编码,不相关),因此需要引入一个中间随机变量、conditional PDF来解决这个问题

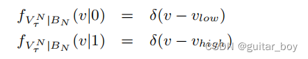
当K=0时,我们可以认为PDF可以通过K=0时的CPDF求出

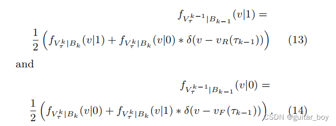
然后,一旦我们能获得0时刻的fVB,我们就能求出我们需要的PDF,但是,我们往往可能只能获得N时刻的fVB(对应此时测量得到的信号,XX时刻的fVB这种说法很不准确,但是先这么说吧,俺后面要去补一下概率论的内容再回来修改-_-)。在设置得当即现在的信号和之前的信号之间没有ISI情况下,N时刻的fVB可以表示成下式

所以,我们需要一个可以将N时刻的fVB迭代回0时刻fVB的方法。
迭代的方法推导先留着(因为俺有些基础理论欠缺实在是无法理解这些等式是怎么来的),先给结果

有了这个迭代公式以后,我们就可以得到PDF,然后计算眼图了。
二、眼图分析
放下一节,俺滚去学概率论先-_-
补充
这篇有点仓促,讲的很简单、简略,算是自己的一个初级笔记
本文来自互联网用户投稿,文章观点仅代表作者本人,不代表本站立场,不承担相关法律责任。如若转载,请注明出处。 如若内容造成侵权/违法违规/事实不符,请点击【内容举报】进行投诉反馈!
