医学统计教程|PASS实现完全随机设计样本含量相等时两均数比较的样本量估计
将同质的实验对象随机地分配到研究因素各水平所对应的处理组,进行处理并观察,或从不同特征的总体中随机抽样,并对样本进行对比观察的设计方法,我们称之为完全随机设计(completely randomized design),又称为成组设计(grouped design),是医学研究中使用最广泛的设计方法之一。
在随机化分组过程中,各处理组的分组概率可以相等,也可以不相等。如常见的按1:1进行分组时各处理组的样本含量相等,也可以按1:2或1:3进行分组。通常在样本含量总数不变的情况下,各组样本含量相等时的设计其统计分析效能最高。
由于研究设计、主要研究指标的性质和目标的不同,其计算样本含量的公式有所不同。当主要评价指标为定量资料,且两样本含量相等时两样本均数差异性比较的样本含量估计原理与主要计算公式:
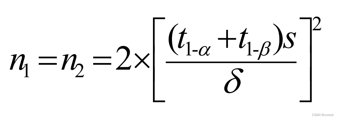
(1)单侧检验时:

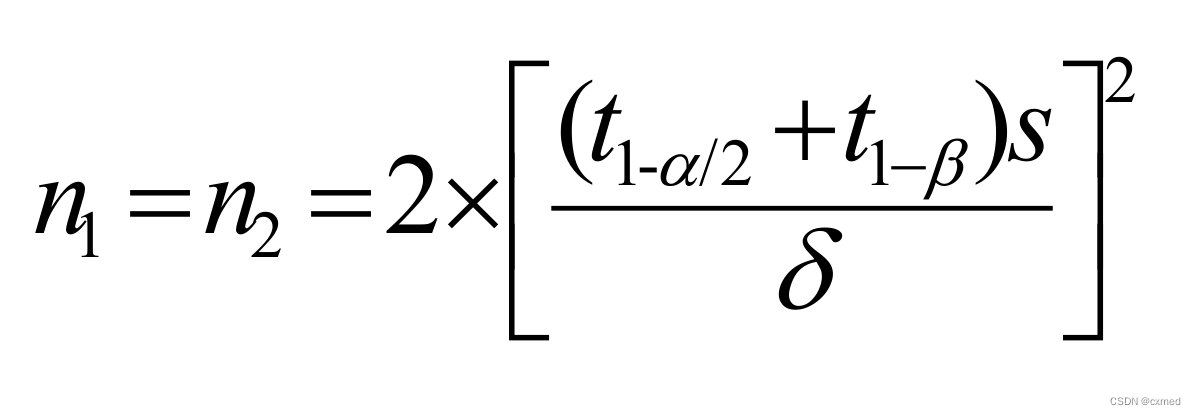
(2)双侧检验时:

公式中δ为两样本均数之差;S样本标准差;t1-α、t1-β、t1-α/2都是自由度(n1 +n2 -2)下的分位数,在n1和n2求出之前,t1-α、t1-β、t1-α/2都无法确定,需要用迭代法解方程。
本节主要讲解采用PASS15软件实现完全随机设计两样本含量相等时两均数比较的样本含量估计。
例:某药厂对新研发的降压中成药与标准降压药的疗效比较。已知标准降压药能使血压平均水平下降2kPa,期望降压中成药能平均下降4kPa,降压值的标准差为4kPa。α=0.05(双侧检验),检验效能1-β=0.8时,需要多少病人进行临床试验?
解析:本例是个完全随机设计的研究,其实验因素具有两水平:中成药与标准降压药;主要结局指标是血压下降水平,是连续型变量;目的是进行当两样本含量相等时两样本均数比较(即两均值差异性检验)的样本含量估计。根据题目我们知道了四个参数:①两样本均数之差 δ=μ1-μ2=4-2=2 kPa;②样本标准差 S=4 kPa;③α=0.05(双侧检验);④检验效能 1-β=0.8。
PASS软件样本含量估算的具体步骤:
01 PASS主菜单进入样本含量估算设置界面:
打开PASS15软件,①点击Means菜单并双击或其前面的“+”展开子菜单栏;→②点击Two Independent Means菜单并双击或其前面的“+”展开子菜单栏;→③点击T –Test(Inequality)→④点击Two Sample T-Tests Assuming Equal Variance→弹出 Two Sample T-Tests Assuming Equal Variance 对话框进入完全随机设计两均数比较时的样本含量估计界面,详见操作示意图(图1)。

02 PASS样本含量估算参数设置:
①Solve For: Sample Size,首先说明我们本次所求的结果为样本含量;→②Alternative Hypothesis:Two-sided,表明进行双侧检验;→③Power:0.8,表明检验效能为80%;→④Alpha:0.05,表示检验水准为0.05;→⑤Group Allocation:Equal(N1=N2),表明两组样本例数相等(1:1);→⑥Input Type:Difference,指定效应指标的类型,有“Means”和 “Differcnce”两种形式,当选择“Means”时需要输入两样本各自的均数,而“Differcnce”只要输入两样本均数之差值即可,由于本例两样本均数较简单(μ1=2和μ2=4)故选择“Differcnce”;→⑦δ:2,指定两样本均数之差δ,本例δ=μ1-μ2=4-2=2;→⑧σ:4,指定样本标准差S=4;→⑨点击Calculate按钮,完成两样本均数比较的样本含量估算,详见操作示意图(图2)。

03 PASS样本含量估算结果:
由图3可知,PASS软件给出的结果主要有:样本含量估算的结果、相关参考文献、样本量估算报告中出现各名词的定义、对计算结果的总结描述以及假定脱落率为20%时所需的样本含量估计结果和其各名词的相关定义。由于脱落率不同研究结果各不相同,故本次不看脱落率为20%的相关结果。

从结果可知,每组需要样本64例病人,总共需要128例。
想要了解更多统计教程相关知识,请登录常笑医学网(www.cxmed.cn)中医学统计栏目进行查询和学习。
本文来自互联网用户投稿,文章观点仅代表作者本人,不代表本站立场,不承担相关法律责任。如若转载,请注明出处。 如若内容造成侵权/违法违规/事实不符,请点击【内容举报】进行投诉反馈!
