能被整除的数(容斥原理)
题目
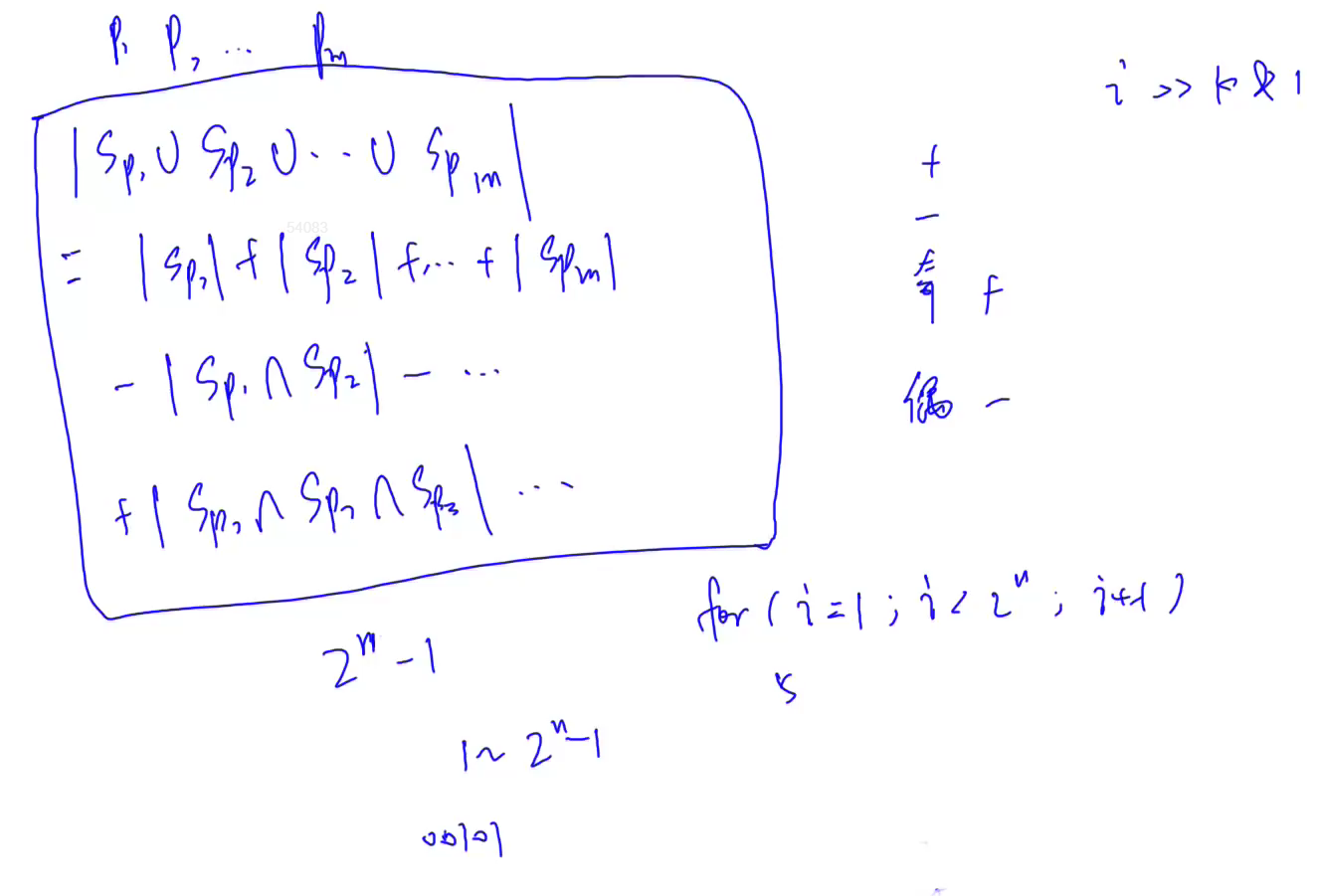
给定一个整数 n 和 m 个不同的质数 p1,p2,…,pm。
请你求出 1∼n 中能被 p1,p2,…,pm 中的至少一个数整除的整数有多少个。
输入格式
第一行包含整数 n 和 m。
第二行包含 m 个质数。
输出格式
输出一个整数,表示满足条件的整数的个数。
数据范围
1≤m≤16,
1≤n,pi≤109
输入样例:
10 2
2 3
输出样例:
7
思路


代码
#includeusing namespace std;typedef long long LL;const int N = 20;
int p[N];int n, m;int main()
{cin >> n >> m;for(int i = 0; i < m; i ++)cin >> p[i];int res = 0;for(int i = 1; i < 1 << m; i ++)//运用二进制枚举所有集合 01110 1是被枚举到的 {int t = 1, cnt = 0;//t 质数的乘积,cnt质数的个数for(int j = 0; j < m; j ++){if(i >> j & 1) {cnt ++;if((LL)t * p[j] > n){t = -1;break;}t *= p[j];} } if(t != -1){if(cnt % 2) res += n / t;else res -= n / t;}}cout << res;return 0;
}
本文来自互联网用户投稿,文章观点仅代表作者本人,不代表本站立场,不承担相关法律责任。如若转载,请注明出处。 如若内容造成侵权/违法违规/事实不符,请点击【内容举报】进行投诉反馈!
