数据分析04:数据可视化
复习:回顾学习完第一章,我们对泰坦尼克号数据有了基本的了解,也学到了一些基本的统计方法,第二章中我们学习了数据的清理和重构,使得数据更加的易于理解;今天我们要学习的是第二章第三节:数据可视化,主要给大家介绍一下Python数据可视化库Matplotlib,在打比赛的过程中,数据可视化可以让我们更好的看到每一个关键步骤的结果如何,可以用来优化方案,是一个很有用的技巧。
2 第二章:数据可视化
开始之前,导入numpy、pandas以及matplotlib包和数据
# 加载所需的库
# 如果出现 ModuleNotFoundError: No module named 'xxxx'
# 你只需要在终端/cmd下 pip install xxxx 即可
import numpy as np
import pandas as pd
import matplotlib.pyplot as plttext = pd.read_csv(r'result.csv')
text.head()

2.7 如何让人一眼看懂你的数据?
《Python for Data Analysis》第九章
2.7.1 任务一:跟着书本第九章,了解matplotlib,自己创建一个数据项,对其进行基本可视化
【思考】最基本的可视化图案有哪些?分别适用于那些场景?(比如折线图适合可视化某个属性值随时间变化的走势)
这里是引用
2.7.2 任务二:可视化展示泰坦尼克号数据集中男女中生存人数分布情况(用柱状图试试)。
sex = text.groupby('Sex')['Survived'].sum()
sex.plot.bar()
plt.title('survived_count')
plt.show()

【思考】计算出泰坦尼克号数据集中男女中死亡人数,并可视化展示?如何和男女生存人数可视化柱状图结合到一起?看到你的数据可视化,说说你的第一感受(比如:你一眼看出男生存活人数更多,那么性别可能会影响存活率)。
这里是引用
2.7.3 任务三:可视化展示泰坦尼克号数据集中男女中生存人与死亡人数的比例图。
#代码编写
# 提示:计算男女中死亡人数 1表示生存,0表示死亡
text.groupby(['Sex','Survived'])['Survived'].count().unstack().plot(kind='bar',stacked='True')
plt.title('survived_count')
plt.ylabel('count')

2.7.4 任务四:可视化展示泰坦尼克号数据集中不同票价的人生存和死亡人数分布情况。(用折线图试试)(横轴是不同票价,纵轴是存活人数)
#代码编写
# 计算不同票价中生存与死亡人数 1表示生存,0表示死亡
fare_sur = text.groupby(['Fare'])['Survived'].value_counts().sort_values(ascending=False)
fare_sur
Fare Survived
8.0500 0 38
7.8958 0 37
13.0000 0 26
7.7500 0 22
13.0000 1 16
…
7.7417 0 1
26.2833 1 1
7.7375 1 1
26.3875 1 1
22.5250 0 1
Name: Survived, Length: 330, dtype: int64
#代码编写
# 1表示生存,0表示死亡fig = plt.figure(figsize=(20,18))
fare_sur.plot(grid=True)
plt.legend()
plt.show()

#排序前绘折线图
fare_sur1 = text.groupby(['Fare'])['Survived'].value_counts()
fare_sur1

#代码编写
# 1表示生存,0表示死亡fig = plt.figure(figsize=(20,18))
fare_sur1.plot(grid=True)
plt.legend()
plt.show()

【思考】看到这个前面几个数据可视化,说说你的第一感受和你的总结
2.7.5 任务五:可视化展示泰坦尼克号数据集中不同仓位等级的人生存和死亡人员的分布情况。(用柱状图试试)
pclass_sur = text.groupby(['Pclass'])['Survived'].value_counts()
pclass_sur


2.7.6 任务六:可视化展示泰坦尼克号数据集中不同年龄的人生存与死亡人数分布情况。(不限表达方式)
facet = sns.FacetGrid(text,hue="Survived",aspect=3)
facet.map(sns.kdeplot,'Age',shade=True)
facet.set(xlim=(0,text['Age'].max()))
facet.add_legend()

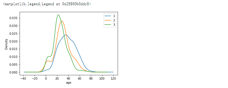
2.7.7 任务七:可视化展示泰坦尼克号数据集中不同仓位等级的人年龄分布情况。(用折线图试试)
text.Age[text.Pclass==1].plot(kind='kde')
text.Age[text.Pclass==2].plot(kind='kde')
text.Age[text.Pclass==3].plot(kind='kde')
plt.xlabel("age")
plt.legend((1,2,3),loc="best")

本文来自互联网用户投稿,文章观点仅代表作者本人,不代表本站立场,不承担相关法律责任。如若转载,请注明出处。 如若内容造成侵权/违法违规/事实不符,请点击【内容举报】进行投诉反馈!
