回归预测常见的评估指标及计算案例
回归预测常见的评估指标
- 平均绝对误差(Mean Absolute Error,MAE)
- 均方误差(Mean Squared Error,MSE)
- 平均绝对百分误差(Mean Absolute Percentage Error,MAPE)
- 均方根误差(Root Mean Squared Error)
- R2(R-Square)
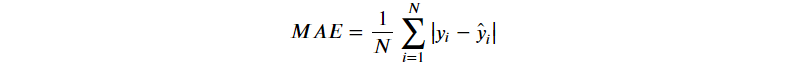
平均绝对误差MAE
平均绝对误差MAE,其能更好地反映预测值与真实值误差的实际情况,计算公式如下:

均方误差MSE
均方误差MSE的计算公式为:

平均绝对百分误差MAPE
平均绝对百分误差的计算公式为:

R2(R-Square)
R2(R-Square)的公式为残差平方和

总平均值

其中 y ‾ \overline{y} y表示 y y y的平均值
得到 R 2 R^2 R2表达式为:
R 2 = 1 − S S r e s S S t o t = 1 − ∑ ( y i − y ^ i ) 2 ∑ ( y i − y ‾ ) 2 R^{2}=1-\frac{SS_{res}}{SS_{tot}}=1-\frac{\sum\left(y_{i}-\hat{y}_{i}\right)^{2}}{\sum\left(y_{i}-\overline{y}\right)^{2}}
本文来自互联网用户投稿,文章观点仅代表作者本人,不代表本站立场,不承担相关法律责任。如若转载,请注明出处。 如若内容造成侵权/违法违规/事实不符,请点击【内容举报】进行投诉反馈!
