MEC项目代码注释[自用]
做MEC项目,用到了三相DQ,单相DQ,负序等,组内人员参考此坐标系的定义编写代码,以下文章节选自以下各位大神们.感谢各位作者的辛苦推导.
版权声明:本文为CSDN博主「JaySur」的原创文章,遵循 CC 4.0 BY-SA 版权协议,转载请附上原文出处链接及本声明。
原文链接:https://blog.csdn.net/jaysur/article/details/100673823
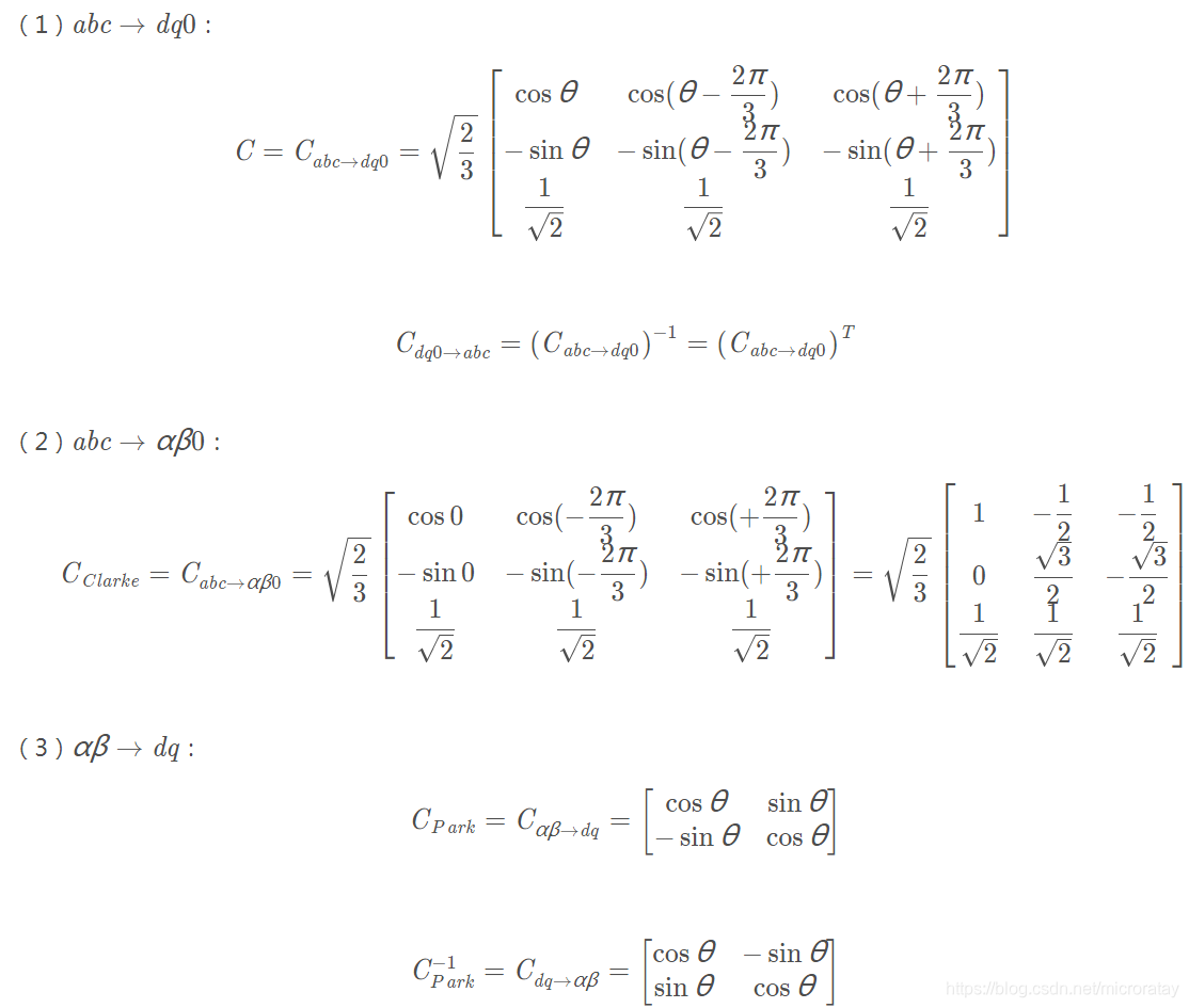
1.项目之前用的PLL为
D + D_+ D+ = s i n ∗ a l p h a − c o s ∗ b e t a sin*alpha - cos*beta sin∗alpha−cos∗beta
Q + Q_+ Q+ = c o s ∗ a l p h a + s i n ∗ b e t a cos*alpha + sin*beta cos∗alpha+sin∗beta
D − D_- D− = − s i n ∗ a l p h a − c o s ∗ b e t a -sin*alpha - cos*beta −sin∗alpha−cos∗beta
Q − Q_- Q− = c o s ∗ a l p h a + s i n ∗ b e t a cos*alpha + sin*beta cos∗alpha+sin∗beta
得到如下:
C P a r k C_{Park} CPark = [ s i n θ − c o s θ c o s θ s i n θ ] \begin{bmatrix} sin\theta & -cos\theta\\ cos\theta & sin\theta \\ \end{bmatrix} [sinθcosθ−cosθsinθ] \qquad\qquad\qquad (1-1)
C P a r k − 1 C_{Park}^{-1} CPark−1 = [ − s i n θ − c o s θ c o s θ s i n θ ] \begin{bmatrix} -sin\theta & -cos\theta\\ cos\theta & sin\theta \\ \end{bmatrix} [−sinθcosθ−cosθsinθ] \qquad\qquad\qquad (1-2)
之前的代码
#if !SPLL_3PH_DDSRFint temp0 = 0;float32 zZ,zB,zC,AGCVal;//del zero sequencezZ = (GridVoltAF + GridVoltBF + GridVoltCF)*S1DIV3;
// zA = GridVoltAF-zZ;zB = GridVoltBF-zZ;zC = GridVoltCF-zZ;//id=sqrt(2/3)*[ cos(wt) cos(wt-pi*2/3) cos(wt-pi*4/3)]*[a b c]'//iq=sqrt(2/3)*[-sin(wt) -sin(wt-pi*2/3) -sin(wt-pi*4/3)]*[a b c]'//3s/2s transferGridVoltAlpha= SQRT_2DIV3 *(GridVoltAF-zZ - 0.5f*zB - 0.5f*zC); //,zA=(GridVoltAF-zZ)GridVoltBeta= SQRT2_DIV2 *(zB - zC); //=//2s/2r transferGridPLLVoltD= DCL_runDF22(&gridVoltPosiDFilter, GridVoltAlpha*PLLResCos + GridVoltBeta *PLLResSin);GridPLLVoltQ= DCL_runDF22(&gridVoltPosiQFilter, GridVoltBeta *PLLResCos - GridVoltAlpha*PLLResSin);AGCVal =1/(DCL_runDF22(&PLLAGCFilter, sqrt(GridPLLVoltD*GridPLLVoltD+GridPLLVoltQ*GridPLLVoltQ)));if(AGCVal>1/(5.0f*SQRT2*SQRT_3DIV2)) AGCVal=1/(5.0f*SQRT2*SQRT_3DIV2); //5Vif(AGCVal<1/(690*1.2f*SQRT2*SQRT_3DIV2)) AGCVal=1/(690*1.2f*SQRT2*SQRT_3DIV2); //220VPllPiOutput =DCL_runPI(&PLLPICtrl, GridPLLVoltQ*AGCVal , 0); //PID,AGCTheta=IntergrateBackEuler(PllPiOutput,Theta); //Integration and get same phase as the voltage 0 degreesif(Theta > PI2) {Theta -= PI2;} //2*PI limitingif(Theta < 0) {Theta += PI2;} //2*PI limitinggridFreq = DCL_runDF22(&bwForFreq, PllPiOutput *(1/PI2));temp0 = (int16)(Theta*PLL_STEP); //float convert to inttemp0 %= SINE_LOOKTABLE_LEN; //Take a remainderPLLResSin=-pCoseLookTab(temp0);PLLResCos= pSineLookTab(temp0);VoltTheta=Theta-PllCalibrPhase+(PI/2); //Corrected to the lead of the PI/2 phase-locked angleif(VoltTheta > PI2) VoltTheta -= PI2; //2*PI limitingif(VoltTheta < 0) VoltTheta += PI2; //2*PI limitingtemp0 = (int16)(VoltTheta*PLL_STEP); //float convert to inttemp0 %= SINE_LOOKTABLE_LEN;resSin=pSineLookTab(temp0);resCos=pCoseLookTab(temp0);
2.经过修改的坐标系:
电机控制中Clarke变换的等幅值变换和等功率变换


得到图形如下:

得到的
[ I d I q ] \begin{bmatrix} I_{d} \\ I_{q}\\\end{bmatrix} [IdIq] = [ I m ∗ c o s θ − I m ∗ s i n θ ] \begin{bmatrix} I_{m}*cos\theta \\ -I_{m}*sin\theta \\ \end{bmatrix} [Im∗cosθ−Im∗sinθ] \qquad\qquad\qquad (2-3)
得到了SPLL.Theta锁相的角度 θ \theta θ即电网电压A相 ∗ c o s θ *cos\theta ∗cosθ

重新生成VoltTheta=SPLL.Theta+ p i / 2 pi/2 pi/2,即电网电压A相 ∗ s i n θ *sin\theta ∗sinθ
单相DQ的伪代码如下:
if(++VoltPrvPos >= VOLT_FUNDPOINT) VoltPrvPos=0;
VoltSlid[VoltPrvPos] = 外部PT经过模拟滤波器后经AD采样得到的值经过数字滤波器VoltPos = VoltPrvPos+VoltLeadPoints; //超前校正指针,超前了360*VoltLeadPoints/VOLT_FUNDPOINT度
#define CAP_VOL_POINT ((PWMFREQUENCY/(50*4))*2*3) //每周波的3/4
CapVoltPos = VoltPos+CAP_VOL_POINT; //电容电压一周波缓冲区指针,滞后270度,即超前90度CapAlpha = VoltSlid[VoltPos];
pCapBeta = VoltSlid[CapVoltPos];if(!StateFlag.VoltFilterEn) //用上周波值校正电网电压滞后的相差pOutSrc= VoltSlid[VoltPos];
else //做电流前馈时,打算用dq校正电网电压滞后的相差,此时未校正pOutSrc= VoltSlid[VoltPrvPos];
D=(beta *resSin + alpha*resCos)*(SQRT2_DIV2); //D
Q=(beta *resCos - alpha*resSin)*(SQRT2_DIV2); //Q
得到 a l p h a alpha alpha与 b e t a beta beta波形
得到 a l p h a alpha alpha与电网电压A相 ∗ c o s θ *cos\theta ∗cosθ同相,即
得到DQ值
本文来自互联网用户投稿,文章观点仅代表作者本人,不代表本站立场,不承担相关法律责任。如若转载,请注明出处。 如若内容造成侵权/违法违规/事实不符,请点击【内容举报】进行投诉反馈!
