题目链接:https://ac.nowcoder.com/acm/contest/373/B;
了解几个公式,顺便自己记一下:
球的体积:v=4/3*r*r*r*PI;
球表面积:v=4*r*r*PI;
球冠:球被平面截下较小的一部分;
球冠表面积:S=2*PI*r*h (r是球的半径,h是球冠的高,即垂直于截面的直径被截后被截下的线段长)
球冠的体积:V=PI/3*h*h*(3*r-h);
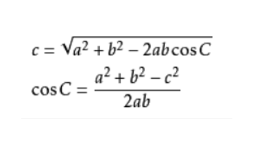
余弦公式

#include
#include
#include
#include
#include
#include
#include
#include
本文来自互联网用户投稿,文章观点仅代表作者本人,不代表本站立场,不承担相关法律责任。如若转载,请注明出处。 如若内容造成侵权/违法违规/事实不符,请点击【内容举报】进行投诉反馈!