一般高斯情况下CRLB求解时Fisher信息阵公式推导
目录
一般高斯情况下Fisher信息阵公式
公式推导前需要整理的公式和性质
性质1:自相关矩阵和其逆矩阵都是对称矩阵
性质2:行列式求导公式
性质3:逆矩阵求导公式
性质4:向量求迹(Tr)
性质5:对称阵的计算公式
性质6:正态分布的奇数阶矩为0
证明过程
第一步:写出包含待估计量的似然函数
第二步:对似然函数求对数
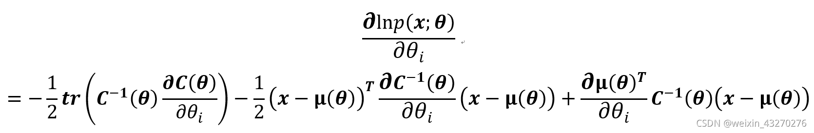
第三步:求一阶导数
第四步:求Fisher矩阵
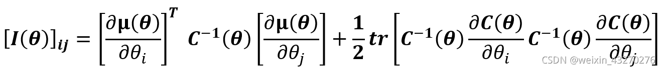
一般高斯情况下Fisher信息阵公式
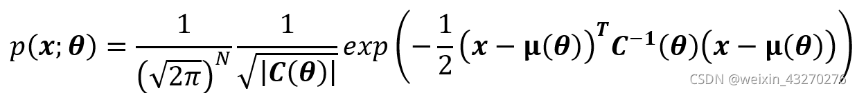
一般高斯情况时,即:

那么x的概率密度函数可以表示为:

其中:




其中μ(θ)和C(θ)都存在待估计的参数,且C(θ)是对称矩阵
那么一般高斯情况时,Fisher信息矩阵的第i,j个元素,可以表示为:

公式推导前需要整理的公式和性质
性质1:自相关矩阵和其逆矩阵都是对称矩阵
是对称矩阵,且
也是对称矩阵
具体可以参考:
https://blog.csdn.net/weixin_43270276/article/details/120560885?spm=1001.2014.3001.5501
性质2:行列式求导公式

性质3:逆矩阵求导公式

具体参考:
笔记:矩阵行列式求导以及矩阵的逆的求导_DengTseng的博客-CSDN博客_矩阵行列式求导
性质4:向量求迹(Tr)
对于相同长度的矢量m和n,那么存在:
![]()
性质5:对称阵的计算公式
![]()
其中:
![]()
性质6:正态分布的奇数阶矩为0
参考
标准正态分布k阶原点矩公式_犹有傲霜枝的博客-CSDN博客_正态分布的k阶原点矩
证明过程
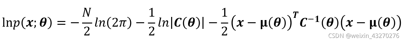
第一步:写出包含待估计量的似然函数

第二步:对似然函数求对数

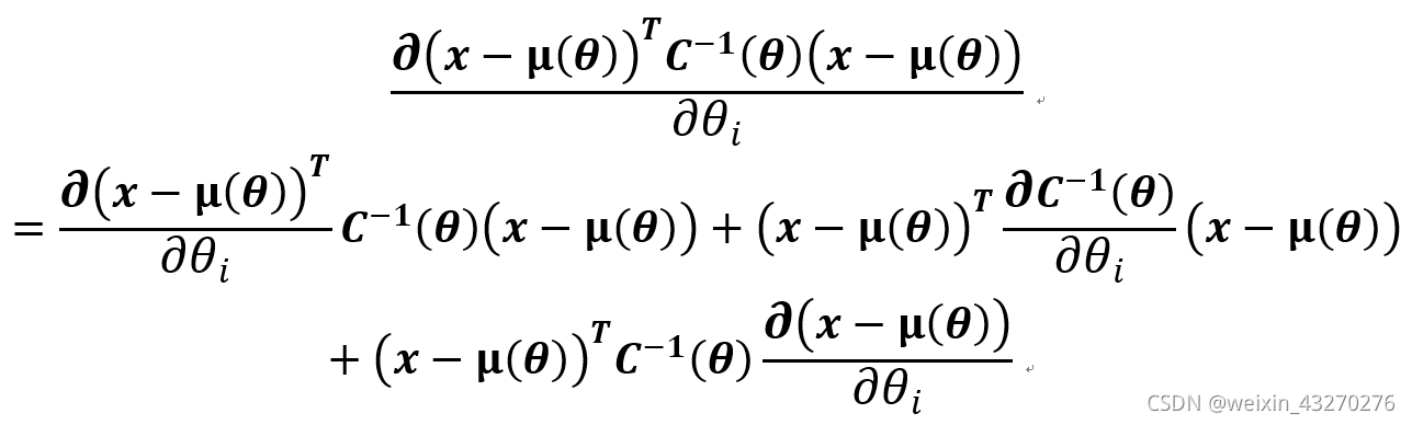
第三步:求一阶导数
上式计算时,分三部分,显然第一项不包含待估计参数θ,所以该项对所有待估计参数的一阶导数都为0。因此重点要求第二和第三项对待估计参数的一阶导数。
第二项对待估计参数的一阶导数:
由于
是N*N维矩阵,因此
也是N*N维矩阵,根据上述性质2,得到:

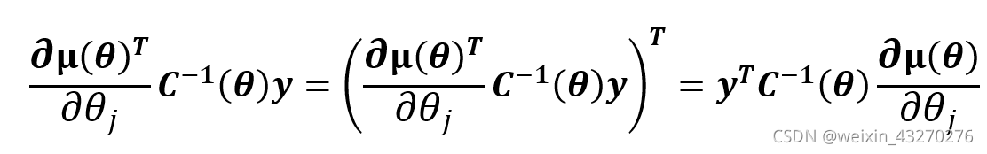
第三项对待估计参数的一阶导数:


而其中:

因此第三项对待估计参数的一阶导数可以表示为:

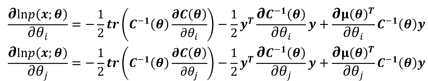
因此,最终一阶导数可以表示为:

第四步:求Fisher矩阵
利用统计信号处理基础(3-23)性质,得到:
![]()
为了简化运算过程,令:
![]()
因此:

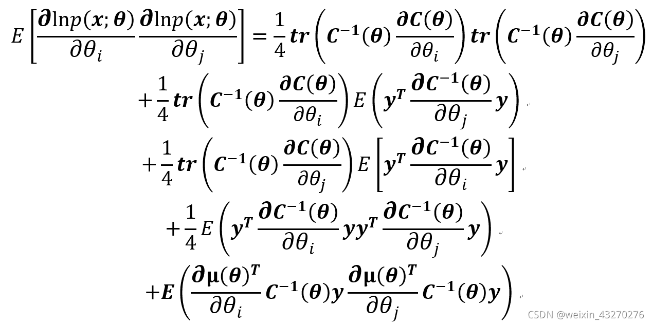
于是可以得到:

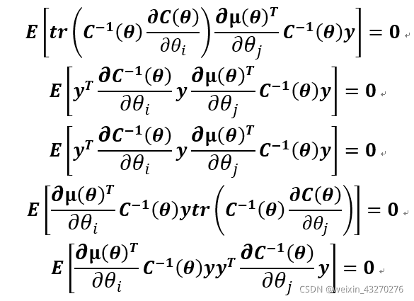
利用性质6,可以得到上式中:

因此,可以稍微简化为:

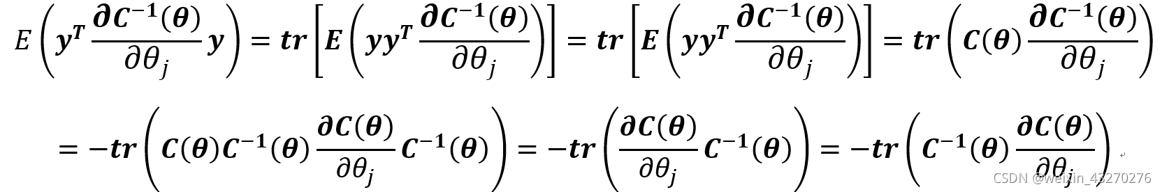
上式中的第一项不需要化简,而第二第三项的化简,需要用到性质3和性质4,具体为:

同理:
![]()
因此,第二第三项可以化简为:

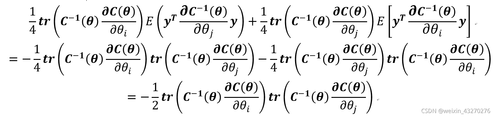
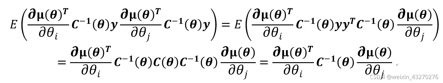
第四项的化简,需要用到性质5

第五项的化简:
由于:
和
都是1*1的元素,因此:

于是:

上述化简代入后,最终可以得到:

证明完毕。
本文来自互联网用户投稿,文章观点仅代表作者本人,不代表本站立场,不承担相关法律责任。如若转载,请注明出处。 如若内容造成侵权/违法违规/事实不符,请点击【内容举报】进行投诉反馈!
