3、分支结构流程图
绘图工具:Microsoft Visio 2013
1. 单分支结构流程图——大值
问题:画流程图,输入两个整数a和b,输出其中的大值。
(提示:当a
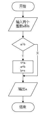
2. 双分支结构流程图——大值
问题:画流程图,输入两个整数a和b,输出其中的大值。
(提示:采用双分支结构,输入a、b后,将大值赋值给另外一个变量,最后输出结果。)
3. 分支嵌套流程图——三级成绩
画流程图,输入学生的百分制成绩s,根据其值,输出其等级成绩。90分以上为优秀,60分以上为合格,不足60分为不合格。
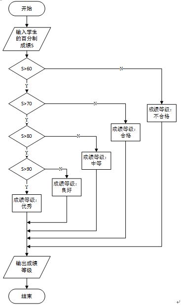
4. 分支嵌套流程图——五级成绩
画流程图,输入学生的百分制成绩s,根据其值,输出其等级成绩。90分以上为优秀,80分以上为良好,70分以上为中等,60分以为及格,不足60分为不及格。
5. 流程图综合——体重监测器
(1)成年男性的标准体重,标准体重(kg)= 身高(cm)-100,请画流程图,输入身高,输出标准体重。
(2)超标准体重20%为超重,画流程图,先计算出标准体重,当超重时,给出提示
(3)体重监测器需要在不超重时也给提示,画出流程图。
(4)若体重低于标准体重20%为超低,将这种情况也做出处理。
(5)除了为男生服务,还要为女生服务。男生的标准体重是“身高-100”,而女生的标准体重是“身高-105”,其他评判的原则一样。画出解决这个问题的流程图。
本文来自互联网用户投稿,文章观点仅代表作者本人,不代表本站立场,不承担相关法律责任。如若转载,请注明出处。 如若内容造成侵权/违法违规/事实不符,请点击【内容举报】进行投诉反馈!
