Java基础考试题1
B 2.String s = new String("xyz");创建了几个StringObject?
A:两个或者一个都有可能
B:两个
C:一个
D:三个
String类型创建了2个StringObject
如果是数据共享,那么可能是一个或者两个
D 3,下列代码的输出是什么?
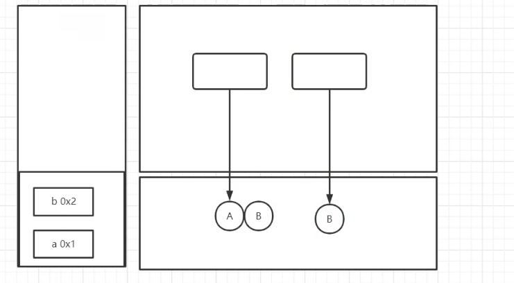
public static void main(String[] args) {StringBuffer a = new StringBuffer("A");StringBuffer b = new StringBuffer("B");change(a, b);System.out.println(a+","+b);}public static void change(StringBuffer x,StringBuffer y) {x.append(y);y = x;}
首先main方法入栈,a,b入栈,在内存里面创建对象A B,接着调用change方法,change法法里面有a,b
ABD 4.下列关于final,finally和finalize的说法正确的是()
A:final可以用来修饰类不能继承、方法、变量
B:finally是java代码保证重点代码一定要执行的一种机制
C:变量被final修饰后不能再指向其他对象,但可以重写 / //不能重写,只有方法能重写 D:finalize设计目的是保证对象在被垃圾收集完成特定资源回收
D 8.以下程序的输出结果 class Base {public Base(String s) {System.out.println("B");}
}
public class Dervid extends Base {public Dervid(String s) {System.out.println("D");}public static void main(String[] args) {System.out.println("C");}
}A:BD
B:DB
C:C
D:编译错误
重写:子类重写父类的方法
本程序中少了super()关键字 指向父类Java执行顺序是父类--》子类--》父类--》子类
B 9.java继承的特点,下列说法正确的是
继承的本质:代码的复用
A:使类的定义复杂化
B:java只支持单继承,不可多继承,但可以通过实现接口来达到多继承的目的
C:子类继承父类的所有成员变量和方法,包括父类的构造方法
D:不可以多层继承,既一个类不可以继承一个类的子类
B 11.下列说法正确的是
类方法:static修饰的方法---类
实例方法:没有static修饰的方法---实例对象
类是创建对象的模板
this---对象:类是创建对象的模板--------有类不一定有对象,有对象一定有类
类方法存储在方法区中,实例方法存储在对象当中,对象存储在堆中
A:在类方法当中可以用this来调用本类的方法 //类里面不能用this来调用
B:在类方法当中调用本类的类方法可以直接调用
C:在类方法当中只调用本类的方法
D:在类方法中绝对不能调用实例方法 (new 对象)
Float a=1.0是正确的赋值方法(错)
解析:默认浮点数是double 类型,因此需要中’f来显示指明是float类型的Float f=1.0f.
局部内部类可以用那些修饰符修饰? abstract final
D 6.执行下列代码会发生什么?
public class Test {static {int x = 5; }static int x,y; public static void main(String[] args) {x--; //x=-1myMethod();System.out.println(x+y+ ++x);}public static void myMethod() {y = x++ + ++x;}}A:编译出错
B:输出1
C:输出2
D:输出3
E:输出7
F:输出8
默认x是0,
ABCD15.java 反射机制主要提供了以下哪些功能?
A:在运行时判断一个对象所属的类
B:在运行时构造一个类的对象
C:在运行时判断一个类所具有的成员变量和方法
D:在运行时调用一个对象的方法
本文来自互联网用户投稿,文章观点仅代表作者本人,不代表本站立场,不承担相关法律责任。如若转载,请注明出处。 如若内容造成侵权/违法违规/事实不符,请点击【内容举报】进行投诉反馈!




