信号与系统-绪论
大家好,我是Xiaojie,桂林电子科技大学计算机在读硕士研究生,这篇内容主要是给大家分享:信号与系统-绪论,接下来进入正题
文章目录
- 绪论
- 信号的描述与分类
- 几种典型的信号
- 信号的运算
- 信号的自变量的变换(波形变换)
- 信号的时域运算
- 阶跃信号和冲激信号
- 单位斜变信号
- 单位阶跃信号
- 单位冲激信号
- 冲激函数的性质
- 冲激偶信号
- 冲激偶函数的性质
- 对deltat的标度变换
- 信号的分解
- 直流分量与交流分量
- 偶分量与奇分量
- 脉冲分量
- 实部分量与虚部分量
- 正交函数分量
- 系统模型及其分类
- 基本单元
- 系统的分类
- 线性时不变系统
- 叠加性与均匀性
- 时不变特性
- 微分特性
- 因果性
绪论
-
信号(signal)
信号:指信息的表现形式与传送载体,信息是信号的传送内容信息:信号是赋予人们的新知识、新概念。消息的传输过程:发送端消息->信号->到接收端信号->消息 -
系统(system)
系统:由若干相互作用和相互依赖的事物组合而成的,具有稳定功能的整体通信系统:为传送消息而装设的全套技术设备(包括传输信道)系统可以看作是变换器、处理器 -
系统分析、系统综合
系统分析:研究信号经系统传输或处理的一般规律,基本概念,基本分析方法系统综合:根据系统的功能和要求设计系统信号与系统的关系简单的描述为:

信号的描述与分类
-
信号的描述
物理上:信号是信息的载体,通常表现为随时间变化的物理量,如:声、光、电、力等。数学上:信号是一个或多个变量的函数形态上:信号表现为一种波形 -
信号的分类
-
周期信号与非周期信号

-
确定性信号与随机信号
- 确定性信号:对于指定的某一时刻,可确定一相应的函数值f(t)
- 随机信号:具有未可预知的不确定性(平稳随机信号,非平稳随机信号)
- 伪随机信号:貌似随机而遵循严格规律产生的信号(伪随机码)
-
连续信号和离散信号
- 连续时间信号:信号存在时间范围内,任意时刻都有定义(即都可以给出确定的函数值,可以有有限个间断点)。用t表示连续时间变量
- 离散时间信号:在时间上是离散的,只在某些不连续的规定瞬时时给出函数值。其他时间没有定义。用n表示离散时间变量

-
模拟信号,抽样信号,数字信号
- 模拟信号:时间和幅值均为连续量的信号
- 抽样信号:时间是离散的,幅值是连续的
- 数字信号:时间和幅值均为离散信号

-
-
信号的特征
- 时间特性(位移)—波形的变化
- 频率特性(频率分量:幅度、相位、信号带宽)
- 能量特性:

几种典型的信号
-
指数信号

-
正弦信号


-
复指数信号

-
抽样信号(Sampling Signal)

-
钟形脉冲函数(高斯函数)
信号的运算
信号的自变量的变换(波形变换)
- 信号的平移

- 信号的倒置(翻转)

- 信号的展缩

- 一般情况

信号的时域运算
- 相加和相乘
同一瞬时两信号对应值相加(相乘) - 微分和积分

阶跃信号和冲激信号
函数本身由不连续点(跳变点)或其导数与积分有不连续点的一类函数统称为奇异信号或奇异函数。
单位斜变信号
- 定义
变化的增长率为1,也称斜坡信号或斜升信号,定义区间为全时间域范围

- 有延迟的单位斜边信号

- 三角形脉冲

单位阶跃信号
- 定义

0点无定义或1/2 - 有延迟的单位阶跃信号

- 用单位阶跃信号描述其他信号
- 门函数:又称为窗函数

- 符号函数(Signum)

- 门函数:又称为窗函数
单位冲激信号
-
定义

-
狄拉克(Dirac)

冲激函数的性质
- 抽样性(筛选性)

- 奇偶性

冲激偶信号

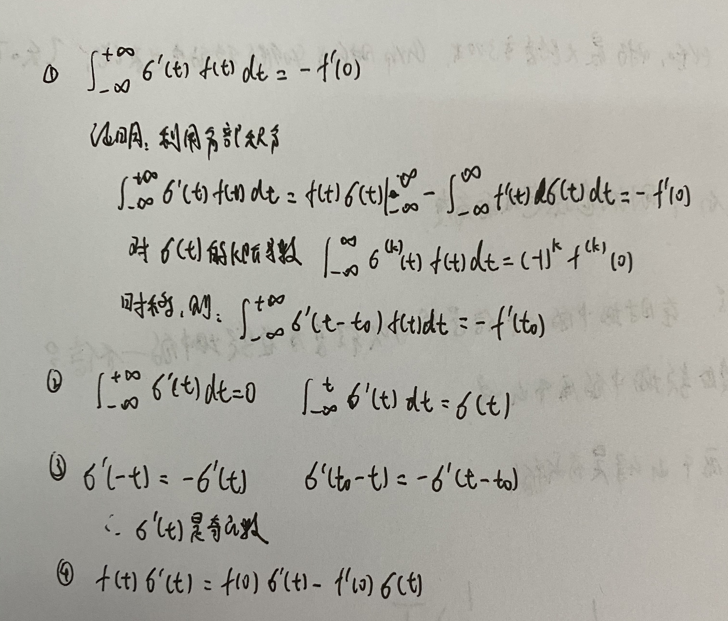
冲激偶函数的性质

对deltat的标度变换

信号的分解
直流分量与交流分量
信号平均值即信号的直流分量,从原始信号中去掉直流分量即得信号的交流分量

偶分量与奇分量
任何信号都可分截为偶分量和奇分量两部分之和,因为任何信号可以写成奇分量和偶分量之和

脉冲分量
一个信号可近似分解为许多脉冲分量之和,这里又分为两种情况,一种是分解为矩形脉冲分量,如下图:

另一种是分解为阶跃信号分量之叠加,如下图:

实部分量与虚部分量

正交函数分量
如果用正交函数集来表示一个信号,那么,组成信号的各分量就是相互正交的。把信号分解为正交函数分量的研究方法在信号与系统理论中占有重要地位。
系统模型及其分类
基本单元

系统的分类
系统的分类错综复杂,主要考虑其数学模型的差异来划分不同的类型
- 连续时间系统与离散时间系统
若系统的输入和输出都是连续时间信号,且其内部也未也未转换为离散时间信号,则称此系统为连续时间系统
若系统的输入和输出都是离散时间信号,则称此系统为离散时间系统
离散时间系统与与连续时间系统组合运用,这种情况称为混合系统 - 即时系统与动态系统
如果系统的输出信号只决定于同时刻的激励信号,与它过去的工作状态无关,则称此系统为即时系统,用线性方程描述。
如果系统的输出信号不仅取决于同时刻的激励信号,而且与它过去的工作状态有关,则称此系统为动态系统,用微分方程或差分方程描述 - 集总参数系统与分布参数系统
只由集总参数元件组成的系统是集总参数系统,用常微分方程作为它的数学模型
含有分布参数元件的系统是分布参数系统,用偏微分方程作为它的数学模型,这是描述系统的独立变量不仅是时间变量,还要考虑到空间的位置 - 线性系统与非线性系统
具有叠加性与均匀性的系统称为线性系统,叠加性是指当几个激励信号同时作用于系统时,总的输出响应等于每个激励单独作用所产生的响应之和,均匀性时指输入信号乘以某常数时,响应也倍乘相同的常数。不满足叠加性或均匀性的系统是非线性系统 - 时变系统与时不变系统
如果系统的参数不随时间而变化,则称此系统为时不变系统。如果系统的参数随时间而改变,则称其为时变系统 - 可逆系统与不可逆系统
若系统在不同的激励信号作用下产生不用的响应,则称此系统为可逆系统,对于每个可逆系统都存在一个"逆系统",当原系统与此逆系统级联组合后,输出信号与输入信号相同。
线性时不变系统
叠加性与均匀性


由常系数线性微分方程描述的系统,如果起始状态为零,则系统满足叠加性与均匀性。若起始状态非零,必须将外加激励信号与起始状态的作用分别处理才能满足叠加性与均匀性
时不变特性
对于时不变系统,由于系统参数本身不随时间改变,因此,在同样起始状态之下,系统响应与激励施加于系统的时刻无关。写成数学表达式,若激励为e(t),产生响应r(t),则当激励为e(t-t0)时,响应为r(t-t0)。

微分特性
对于LTI(线性时不变–Linear Time - Invariant)系统满足如下的微分特性:若系统在激励e(t)作用下产生响应r(t),则当激励为de(t)/d(t)时,响应为dr(t)/dt,如果输入的激励信号为其积分时,输出也由原响应函数变为其积分。

因果性
因果系统是指系统在t0时刻的响应只与t=t0和t
常把t=0接入系统的信号(在t<0时函数值为零)称为因果信号。对于因果系统,在因果信号的激励下,响应也为因果信号
当幸福来敲门
下面的是笔者的微信公众号,欢迎关注,会持续更新c++、python、tensorflow、机器学习、深度学习、计算机视觉、雷达原理、FPGA等系列文章。

本文来自互联网用户投稿,文章观点仅代表作者本人,不代表本站立场,不承担相关法律责任。如若转载,请注明出处。 如若内容造成侵权/违法违规/事实不符,请点击【内容举报】进行投诉反馈!
