室外传播模型 -- 关于LEE模型的介绍
LEE模型有如下优点:模型中的主要参数方便根据测量值进行调整,适合本地无线传播环境,准确性高;路径损耗测量方法简单,计算速度快。
LEE模型可以分为两类:宏蜂窝模型与微蜂窝模型。下面对它们分别进行介绍。
1. LEE宏蜂窝模型
决定移动台接收信号大小的因素有人为建筑与地形。LEE模型的基本思路是:先将城市当成平坦的,只考虑人为建筑的影响,在此基础上再将地形的影响加进来。
(1)人为建筑对接收信号的影响
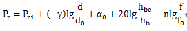
LEE宏蜂窝模型在对不同地形场强测量的基础上,使用了统一的路径损耗公式:

其中,P_r 为接收功率,d 为收发天线之间的水平距离,γ 为距离衰减因子,P_r1 为在特定城市中,当基站天线为半波长天线,高x米,发射功率为y瓦时候,1km处的接收功率。
α_0为修正因子,当基站天线与上述标准天线不同的时候对其进行修正:

其中,h_t、P_t、G_t为实际基站天线高度、发射功率和天线增益,h_tREF、P_tREF、G_tREF 为测量 P_r1 和 γ 时的基站天线高度、发射功率和天线增益。
下面的表给出了方载频功率为900MHz、发送天线高度为30米,接收天线高度为3米时,在不同地形下的参考接收功率 P_r1 和距离衰减因子 γ 取值:

(2)地形对接收信号的影响
地形的影响有三种情况,分别是:有阻挡的情况、无阻挡的情况以及水面反射情况。
① 无阻挡的情况
考虑地形影响,采用有效天线高度进行计算:

其中,h_be 为基站天线有效高度,h_b 为基站天线的实际高度,d_0 一般取1Km,f_0 一般取850MHz,n由f与 f_0 决定,满足下面的关系:

可以得到无阻碍时候的传输损耗为:

其中,L(v)为衍射损耗。
② 有阻挡的情况

此时传播损耗为:

③ 水面反射情况

其中,α为无线通信环境引起的衰减因子,当它等于1时路径损耗即为自由空间路径损耗。G_t为发送端天线增益,G_r为接收端天线增益,λ为波长。
2. LEE微蜂窝模型
该模型基于一个假设:传播路径上建筑群的长度对信号衰减的影响极大。也就是说,当建筑物增加的时候,路径损耗会随之增加。
LEE微蜂窝模型的传播损耗计算公式为:

其中,h_t 为发送端天线有效高度,d 为发送端与接收端之间的距离 L_LOS (d,h_t )表示视距传输损耗,L_B 表示街区引入的损耗。L_LOS (d,h_t ) 的计算式为:

其中,D_f 为菲涅尔区距离,计算如下:

街区引入损耗L_B 计算方法如下:

其中L_NLOS 表示非视距传输损耗。
本文来自互联网用户投稿,文章观点仅代表作者本人,不代表本站立场,不承担相关法律责任。如若转载,请注明出处。 如若内容造成侵权/违法违规/事实不符,请点击【内容举报】进行投诉反馈!
