学术报告: 三支推荐系统
摘要:三支决策理论与方法已被广泛应用于机器学习的各类实际场景。本报告利用三支决策的思想,将推荐行为划分为推荐、不推荐、促销三种。在随机森林、Slope-one、kNN等流行算法进行预测的基础上,详细讨论两个推荐阈值的学习方案。实验表明推荐阈值的有效性与推荐算法的先进性。进一步提出了交互式环境下的三支推荐算法,也获得了好的效果。
1. 三支决策发展的三个阶段
逐渐突破限制
各阶段并没有优劣之分
1.1 决策粗糙集
将论域分为: 正域、负域、边界域
由 3 × 2 3 \times 2 3×2 误分类代价矩阵确定正域阈值 α \alpha α 与负域阈值 β \beta β
建立于粗糙集理论基础之上
1991 年提出, 比变精度粗糙集 (1995 年) 更早, 且更有理论依据
1.2 狭义三支决策:以三支决策为基础 (三支 + 机器学习)
不再受限于粗糙集理论
- 三支决策
接受、拒绝、延迟决策
鸡蛋饼的故事: 把鸡蛋打进碗里、丢掉、使用第二个碗 - 序贯三支决策
接受、拒绝、延迟决策
交互式, 逐步增加可用信息, 减小边界域 - 三支推荐系统
- TAO 模型: 分、治、效
从正域转向负域
1.3 广义三支:以三支决策为指导思想 (机器学习 + 三支)
不再受限于决策或具体技术
从技术到方法论
- 三支主动学习
将对象分成三个区域: 查询标签、预测标签、延迟处理 - 三分模式挖掘
将字母表分成三个区域: 强、中、弱
2. 三支推荐系统
2.1 动机
- 在推荐、不推荐的基础上, 引入促销 (promotion) 行为
- 2 × 3 2 \times 3 2×3 代价矩阵
| Action \ Preference | Dislike | Like |
|---|---|---|
| Un-recommend | 0 | C F N C_{FN} CFN |
| Promote | C F R C_{FR} CFR | C T R C_{TR} CTR |
| Recommend | C F P C_{FP} CFP | 0 |
用户喜欢但接受了促销, 导致利润降低, 但代价低于不向用户推荐: C T R < C F N C_{TR} < C_{FN} CTR<CFN;
用户不喜欢但收到促销, 导致系统的可信度下降, 但代价低于向用户强烈推荐: C F R < C F P C_{FR} < C_{FP} CFR<CFP
2.2 基于随机森林的推荐
2.2.1 数据
- 用户 Demographic 数据: 年龄、职业等
- 电影 Content 数据: 类型、年代等
- 观看历史: Y/N
2.2.2 基本方法
- 决策表构建
- 使用随机森林的预测用户喜欢电影的概率
- 总体结构
2.2.3 核心问题
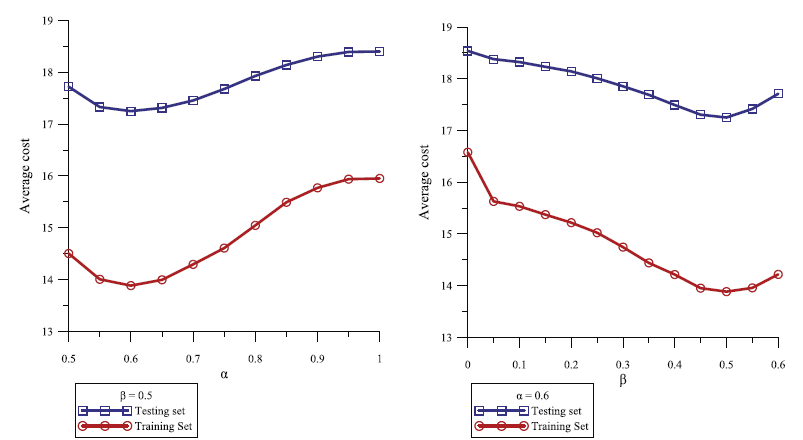
- 如何学习合适的可能性阈值对 ( α , β ) (\alpha, \beta) (α,β)
预测的喜欢程度大于 α \alpha α 就推荐
预测的喜欢程度小于 β \beta β 就不推荐
无法确定就促销
2.2.4 实验结果
- 训练集与测试集的代价受阈值影响趋势一致
分别优化 α \alpha α 与 β \beta β
可以将训练集中的最优阈值直接用于测试集
- 与 Pawlak 模型的对比 (颜色画反了)
(a) 为训练集
(b) 为测试集
2.3 基于评分预测的推荐
2.3.1 数据
- 评分矩阵
2.3.2 基本方法
- Slope one, kNN 等评分预测方法
- 预测用户对相应电影的评分
2.3.3 核心问题
- 如何学习合适的评分阈值对 ( α , β ) (\alpha, \beta) (α,β)
预测的评分大于 α \alpha α 就推荐
预测的评分小于 β \beta β 就不推荐
无法确定就促销 - α \alpha α 与 β \beta β 是否独立
- 对于训练集合适的阈值, 对于测试集是否仍然适用
2.4.4 实验结果
- 二支推荐时推荐阈值的影响
- 三支推荐时推荐阈值的影响
3. 三支交互推荐
3.1 动机
- 实际推荐系统是交互式的
- 需要把用户留在系统里 (增加黏度)
3.2 方案
- 为新用户推荐流行的电影
- 既考虑用户的偏好,又寻找新的增长点
- 使用增量矩阵分解,减少计算量
3.3 实验结果
混合方式比基于流行度、基于增量矩阵分解都好
4. 小结
- 提出一个新的推荐问题
- 参数学习的简单方法
- 新的场景
参考文献
[1] Heng-Ru Zhang, Fan Min, Three-way recommender systems based on random forests, Knowledge-Based Systems 91 (2016) 275–286.
[2] Heng-Ru Zhang, Fan Min, Bing Shi, Regression-based three-way recommendation, Information Sciences 378 (2017) 444–461.
[3] Yuan-Yuan Xu, Shen-Ming Gu, Hua-Xiong Li, Fan Min. A hybrid approach to three-way conversational recommendation. Soft Computing. (2022-8)1–13.
欢迎留言!
本文来自互联网用户投稿,文章观点仅代表作者本人,不代表本站立场,不承担相关法律责任。如若转载,请注明出处。 如若内容造成侵权/违法违规/事实不符,请点击【内容举报】进行投诉反馈!
