GULP案例3:如何利用经验势函数计算弹性常数?
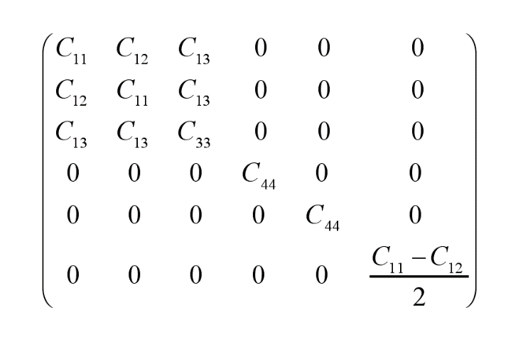
弹性常数描述了晶体对外加应变的响应的刚度。在材料的微小线性变形范围内,体系的应力与应变满足胡克定律。对于足够小的变形,应力与应变成正比,三维材料的弹性刚度常数矩阵是6×6:

以六角晶系为例进行说明,其独立的弹性常数有C11,C12,C13,C33和C44:

复现内容:
ZnO-WZ结构的弹性常数和模量
期刊名字:
Journal of Physical Chemistry C
影响因子(IF):4.126
中科院分区:2区
文献题目:
New ab initio based pair potential for accurate simulation of phase transitions in ZnO
论文链接:
New Ab Initio Based Pair Potential for Accurate Simulation of Phase Transitions in ZnO | The Journal of Physical Chemistry C
文献计算结果:

GULP软件计算内容:
弹性常数:

弹性模量:

与文献结果一致!
此外,也绘制了弹性模量的二维和三维投影图:

下期将讲解GULP输入文件!
以上是我们分享的一些经验,或有不足,欢迎大家指出并留言!最后,感谢功能新材料高压物性研究小组以及本课题组所有人的支持!
欢迎大家交流!扫码即可关注微信公众号:原子与分子模拟

本文来自互联网用户投稿,文章观点仅代表作者本人,不代表本站立场,不承担相关法律责任。如若转载,请注明出处。 如若内容造成侵权/违法违规/事实不符,请点击【内容举报】进行投诉反馈!
