拉普拉斯矩阵相关
拉普拉斯矩阵相关
拉普拉斯矩阵
Laplacian matrix的定义
拉普拉斯矩阵(Laplacian matrix)),也称为基尔霍夫矩阵, 是表示图的一种矩阵。给定一个有n个顶点的图
,其拉普拉斯矩阵被定义为:

其中为图的度矩阵,为图的邻接矩阵。
举个例子。给定一个简单的图,如下:

把此“图”转换为邻接矩阵的形式,记为:

把的每一列元素加起来得到个数,然后把它们放在对角线上(其它地方都是零),组成一个的对角矩阵,记为度矩阵,如下图所示:

根据拉普拉斯矩阵的定义,可得拉普拉斯矩阵 为:
1.2、 拉普拉斯矩阵的性质
介绍 拉普拉斯矩阵的性质之前,首先定义两个概念,如下:
①对于邻接矩阵,定义图中A子图与B子图之间所有边的权值之和如下:

其中wij ,定义为节点到节点的权值,如果两个节点不是相连的,权值为零。
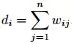
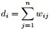
②与某结点邻接的所有边的权值和定义为该顶点的度d,多个d 形成一个度矩阵 (对角阵)

拉普拉斯矩阵 具有如下性质:
L是对称半正定矩阵;
,即 L的最小特征值是0,相应的特征向量是 。证明:
。(此外,别忘了,之前特征值和特征向量的定义:若数字
和非零向量
满足
,则
为
的一个特征向量,
是其对应的特征值)。
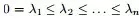
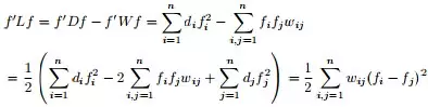
L 有n个非负实特征值
且对于任何一个属于实向量
,有以下式子成立

其中,



下面,来证明下上述结论,如下:

来源来源
本文来自互联网用户投稿,文章观点仅代表作者本人,不代表本站立场,不承担相关法律责任。如若转载,请注明出处。 如若内容造成侵权/违法违规/事实不符,请点击【内容举报】进行投诉反馈!
