sqlplus几个存储过程执行变量值窜掉了_基于大数据的冷连轧过程控制优化技术研究...
作者:郭立伟, 王彦辉 , 王佃龙,宋浩源,刘海超,曹静
摘要:针对冷连轧过程控制模型系统目前存在的问题,以摩擦系数模型参数优化和平坦度控制参数优化为例,本文阐述了在完整、准确和可靠的工艺实时数据基础上,将大数据的思路和方法应用于冷连轧过程控制优化的研究,有效提高了模型设定精度和平坦度控制精度。
关键词:冷连轧;大数据;优化
Abstract: To address the issues of tandem cold rolling controlsystem,this paper takes friction model optimization and flatness control parameter optimization as an example, and illustrates the research of implementing big data for tandem cold rolling control, based on integrated, accurate and reliable data. As a result, the precision of prediction and control precision of flatness were obtained.
Key words: Tandem cold rolling; Big data; Optimization
1 前言
提高工业生产智能化水平,达到降低工艺人员和管理人员的劳动强度,降低不良品率的目的,必须将目前主要靠人工完成的模型参数和控制参数优化工作转化为自动完成,才能适应不断变化的生产状况和日益多样的用户需求。通过基于大数据的工艺模型优化和工艺控制优化,提升冷连轧过程控制水平,使产品质量、性能得到有效控制,提高工厂柔性化生产水平。
目前冷连轧产线的模型参数和工艺控制参数主要依靠工艺人员和自动化技术人员根据生产稳定状况、产品质量状况和用户需求,进行人工调整,存在的问题主要体现在:
(1)模型系统的参数优化工作始终处于被动地位:基于人工完成的模型系统参数优化,是用有限的人的精力去监控无限的机器生产,无法对系统实现长期、连续和高效的优化完善,而只能按照“出了问题再分析”的被动工作模式;
(2)不能及时和有效地利用积累了大量有效信息和知识的过程数据:在冷连轧生产实践中,高水平的操作人员有着非常丰富和高效的控制手段和经验,从而获得满意的控制效果,即良好的板形和厚度精度,较高的生产效率。另外,现代化冷连轧生产线配备了大量的传感器、检测器和仪表,可以获得大量包含生产经验的轧制过程数据。由于工况的变化,数据所包含的经验可能也在发生变化,需要及时发现并提取这些经验信息,并用于后续的生产过程;
(3)基于人工的模型系统参数优化工作基本上是一种基于定性的优化:工艺人员通常是根据产品质量状况的变化趋势,对参数的优化方向提出要求,而趋势的及时发现和模型系统的参数优化调整,还很难做到;
(4)基于人工的模型系统参数优化工作很难保证实效性:由于来料状况的变化、现场工艺状况的变化和设备工作状态的变化,可能都会体现在产品质量和生产稳定性上,模型系统需要根据上述外部环境的变化及时作出优化调整。
针对上述过程控制模型系统目前存在的问题,本文在完整、准确和可靠的工艺实时数据基础上[1、2],基于大数据的思路和方法对变形抗力模型、摩擦系数模型和轧制力补偿模型参数,以及平坦度控制参数进行了优化研究。下面以摩擦系数模型参数优化和平坦度控制参数优化为对象,阐述研究工作。
2 摩擦系数模型参数优化闭环
2.1 摩擦系数模型参数优化对象
摩擦系数模型参数优化的目的是基于大数据的思路和方法,利用数据挖掘的手段,对摩擦系数模型中的有关参数进行优化,从而保证模型设定精度的持续稳定,使得模型系统适应多品种、小批量的生产特点。
本文摩擦系数模型优化的对象之一是对轧制力设定精度有直接影响的摩擦系数模型参数,优化的目标包括摩擦系数模型的相关参数。
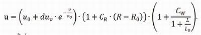
如下式所示摩擦系数模型,包含实际轧制速度、轧辊表面粗糙度和实际轧制长度三个自变量,以及七个模型参数[3]。

式中:
u0—基本摩擦系数参数;
v0—参考轧制速度;
v —实际轧制速度;
duv—速度变化影响参数;
R —轧辊表面的粗糙度;
R0—轧辊表面的参考粗糙度;
CR—实际粗糙度影响参数;
L—轧辊轧制带钢的长度; L0—轧辊轧制带钢的基准轧制长度; Cw—轧制长度影响参数。其中,U是摩擦系数,是模型因变量,需要根据模型自变量和模型参数计算得到。
v0、R0、L0、CR、u0、duv和Cw是摩擦系数模型方程中的7个参数。针对该摩擦系数模型,基于以下考虑,本系统只将u0、duv和Cw作为优化对象。
(1)v0、R0和L0是三个基本参数,由产线基本状况决定,按常数处理,不进行优化;
(2)轧辊表面粗糙度数值基本稳定,因此不对C R参数优化;
(3)u0是基本摩擦系数,该值的大小直接决定了最终的计算结果,因此对其优化;
(4)duv反映了轧制速度对摩擦系数的影响,因此对其优化;
(5)Cw反映了轧制长度对摩擦系数的影响,因此对其优化。
2.2 摩擦系数模型参数优化方法
2.2.1 工艺数据预处理工艺数据采集、预处理清洗和高效存储是进行摩擦系数模型参数优化的基本前提,此处不再赘述。
因为本文使用的基于大数据分析的多变量非线性回归算法需要实际的摩擦系数,而实际摩擦系数是现场无法实时测量的变量,所以本文在数据预处理过程采用摩擦系数逆计算算法计算得到实际的摩擦系数。另外,考虑到摩擦系数和变形抗力在保证模型精度方面的不同作用和互补性,在摩擦系数逆计算过程中采用了与变形抗力逆计算同时进行,以轧制力精度满足要求为收敛条件,进行迭代计算,最终得到实际的摩擦系数。
2.2.2 工艺数据相关性分析
工艺数据相关性分析采用简单相关性分析算法,对所获取的海量工艺数据进行相关性分析,分别计算轧制速度、轧制长度、压下量和轧辊表面粗糙度等参数和摩擦系数之间的相关性。
以一定的阈值作为变量选择的依据,最终选择轧制速度、轧制长度和轧辊粗糙度作为优化分析的对象。这样可以将回归优化算法的研究对象限定在少量的参数范围内,提高优化的执行效率,同时也使预测结果更能体现关键因素的作用。
2.2.3 摩擦系数模型非线性回归
本文采用全局收敛的Levenberg-Marquardt修正的高斯牛顿优化算法对摩擦系数模型参数进行回归分析。基于Levenberg-Marquardt优化算法的摩擦系数模型参数优化就是利用实际的轧制速度、轧制长度、轧辊粗糙度和反算得到的实际摩擦系数,得到一组u0、 duv和Cw,使海量样本中依据各组轧制速度、轧制长度和轧辊表面粗糙度对应设定计算得到的摩擦系数与样本中反算的摩擦系数的残差平方和满足最小偏差条件。算法流程如图1所示:

图1 Levenberg-Marquardt算法计算流程
2.3 应用效果
在某公司酸轧产线利用本系统对摩擦系数模型进行了回归分析,使模型系统更加适合当前产线的工艺状况,从而提高模型系统的设定精度。在应用过程中累计对13个钢种的2808卷带钢(对比钢卷6715卷)应用了回归分析的结果。从图2可以看出,轧制力设定精度得到了显著提高。

图2 摩擦系数模型优化效果
3 板形控制参数优化闭环
3.1 板形控制参数优化对象
板形控制参数优化的目的是基于大数据的思路和方法,利用数据挖掘的手段,从海量工艺数据中提取能获得良好板形的控制参数,提高产线平坦度控制精度和横向厚差控制精度,因此板形控制参数优化的目标就需要包括对平坦度控制和横向厚差控制产生影响的主要控制参数。
根据冷连轧产线的机型、辊形和工艺控制手段,在选取板形控制参数优化对象的时候,主要包括如下因素:
(1)现代常规冷连轧产线具备丰富的板形控制手段,具体包括工作辊弯辊、中间辊弯辊、工作辊窜辊、中间辊窜辊和轧辊倾斜控制等;
(2)轧制力、机架前张力、机架后张力和轧制速度等关键控制参数对辊缝形状会有直接影响;
(3)最终酸轧产品的平坦度质量和横向厚差质量是5个机架综合控制的结果,因此上述5个机架的板形影响因素和板形控制因素都应该考虑;
(4)热轧来料的截面形状作为影响酸轧板形控制质量的关键因素,本来应当作为板形控制参数优化的对象,但是目前不具备共享热轧过程数据的能力,所以暂时不考虑。
3.2 板形控制参数优化方法
3.2.1 工艺数据预处理
工艺数据采集、预处理清洗和高效存储是进行板形控制参数优化的基本前提,此处不再赘述。
3.2.2 工艺数据相关性分析
工艺数据相关性分析采用简单相关性分析算法,对所存储的海量工艺数据进行相关性分析,定量确定板形控制参数优化对象中的每一种工艺参数和板形质量之间的相关性,以0.1作为参数选择的阈值,将相关性绝对值大于该给定阈值的参数作为工艺数据聚类分析和工艺数据关联规则分析的研究对象,从而找到对板形质量起关键作用的工艺参数对象。
3.2.3 工艺数据聚类分析
工艺数据聚类分析使用模糊C均值聚类方法[4、5],将工艺数据相关性分析筛选出来的每一种对板形质量起关键作用的工艺参数分成不同密度的数值区间,科学地选取相对少量分析样本,同时保证工艺数据关联规则分析所使用的分析样本的代表性和典型性;同时,为了满足关联规则分析算法对数据对象离散化的要求,完成对具有连续属性的板形控制关键工艺参数进行离散化处理。
针对不同的对象使用不同的处理方法:
(1)钢种、产品宽度、产品厚度是几个相对变化较小,本身已经有明确分类的量,所以对它们的处理是直接利用现有的该产线产品大纲(或者参数表格)的分类;
(2)轧制力、轧制速度、中间辊弯辊、工作辊弯辊、中间辊窜辊、中间辊弯辊、前张应力和后张应力存在随机的、较大的变化范围,因此采用上文提到的聚类分析的方法,基于距离对数值属性进行离散化分类,获得不同的数值区间;
(3)对于板形质量评价,根据不同产品质量要求和下道工序对带钢的板形需求,将板形质量评价分为了[0.0,1.0]、[1.0,2.0]、[2.0,3.0]、[3.0,4.0] 、[4.0,6.0]等类别区间。
3.2.4 工艺数据关联规格分析
工艺数据关联规则分析利用数量关联规则挖掘算法Apriori算法[6、7],以工艺数据相关性分析得到的影响板形质量的关键工艺参数为分析对象,对经过工艺数据聚类分析处理后的工艺数据进行关联规则分析,挖掘板形质量与各板形影响关键参数组合之间的关联规则,筛选满足最小可信度和支持度要求的关联规则,构成板形控制规则库。具体步骤如下所示:
(1)根据工艺数据相关性分析确定的板形影响关键参数和板形质量参数,构造待分析的数据结构;
(2)在冷连轧板形控制工艺知识的指导下,将已经经过工艺数据聚类分析离散化以后的,具有不同数值区间的钢种、产品宽度、产品厚度、轧制力、轧制速度、中间辊弯辊、工作辊弯辊、中间辊窜辊、前张应力和后张应力等板形影响关键参数和板形质量参数进行组合,获得一系列项目集;
(3)运用Apriori算法挖掘板形质量与各板形影响关键参数之间的关联规则,筛选满足最小可信度和支持度要求的关联规则,构成板形控制规则库[8]。
3.3 应用效果
在某公司酸轧产线应用本系统对板形控制工艺过程数据进行了挖掘分析,最终提高了冷轧带钢的成材率,降低了带钢头尾超差。
在系统应用期间对14种钢种,43种产品厚度规格,58种带钢宽度规格进行了总计621卷带钢的优化参数应用和对比,有86.95%的带钢头尾超差平均减小了5.04m;有91.3%的带钢合格板形长度平均延长了0.97%。
4 结论
基于大数据的模型参数优化闭环功能和控制参数优化闭环功能,可以为提高工业生产智能化水平,为降低工艺人员和管理人员的劳动强度,降低不良品率,提供技术支持,体现在如下几个方面:
(1)解放人力资源,尽量减少人工干预,主动对模型参数和控制参数进行优化调整,及时(或者提前)应对可能出现的质量问题和稳定性问题;
(2)充分、有效地利用积累了大量有效信息和知识的过程数据,及时发现并提取生产过程中形成的高效控制信息,应用于后续生产过程,提高产品质量控制水平;
(3)及时发现,并且依据模型精度变化趋势和产品质量变化趋势,对模型参数和控制参数进行优化调整,提高产线质量控制水平;
(4)针对来料状况的变化、现场工艺状况的变化和设备工作状态的变化,及时对模型系统作出优化调整。
参考文献:
[1] 管志刚,金旭.数据挖掘中数据预处理的研究与实现[J].计算机应用研究,2004 ( 7 ) : 117 - 119.
[2] 谢永红,吾拉木,杨炳儒.一个通用型知识发现系统中数据预处理的实现[J].计算机应用研究,2005 ( 11 ) : 55 - 58.
[3] 高雷,郭立伟,陈丹.冷连轧轧制力模型中变形抗力和摩擦系数的分析[J].轧钢,2013,30 ( 4 ) : 12 - 15.
[4] 施润身,赵青.改进的关联规则采掘算法及其实现[J].同济大学学报,2002,30 ( 2 ) : 222 - 225.
[5] 王小玉,王亚东,冯丽.关联规则的挖掘[J].信息技术,2003,27 ( 1 ) : 55 - 57.
[6] ZHOU Zhi-Hua.Three perspectives of data mining[J].Artificial Intelligence,2003 ( 143 ) : 139 - 146.
[7] 毛国君.数据挖掘原理与算法[M].北京:清华大学出版社,2005.
[8] 郭立伟,高雷,陈丹.数据挖掘技术在冷连轧板形控制系统中的应用研究[J].冶金自动化,2012,36 ( 2 ) : 30 - 33.
作者简介:
郭立伟(1974-),男,河南人,高级工程师,博士,现就职于北京首钢自动化信息技术有限公司混合流程工业自动化系统及装备技术国家重点实验室首钢分实验室,主要从事轧钢工艺及二级模型系统开发研究。
摘自《自动化博览》2018年12月刊
本文来自互联网用户投稿,文章观点仅代表作者本人,不代表本站立场,不承担相关法律责任。如若转载,请注明出处。 如若内容造成侵权/违法违规/事实不符,请点击【内容举报】进行投诉反馈!
