什么是电阻,电容,电感?
什么是电阻?什么是电容?什么是电感?
1.导体对电流的阻碍作用就叫该导体的电阻。物理量。
2.容纳电荷的载体。(给定电位差下自由电子的储存量)
3.闭合回路的一种属性。
电容是什么构成的?
两个不接触的导体。(两个相互靠近的导体,中间夹着着一层不导电的绝缘介质就构成了电容器,当电容器的两个极板之间加上电压时,就能储存电荷)
电容量怎么计算?
C=Q/U 电容器的电容量在数值上等于一个导电极板上的电荷量与两个极板之间的电压之比。
什么是电压?(电位差或电势差)
电压是衡量单位电荷在静电场中因电势大小而产生的能量差的物理量。
电压的大小和方向是什么?
单位正电荷受电场力的作用由一点移至另一点所做功的大小,方向是从高电位指向低电位的方向。
什么是电流?(电流强度)
电磁学上把单位时间内通过导体任何一截面的电量称为电流强度,简称电流。
欧姆定律是什么?
I=U/R
电阻的功能有什么?
分压,分流。
为什么电阻需要很多种类?
不同的工艺和原理实现出的电阻的阻值和体积、成本、精度、功率、高频特性、噪声特性都不同。
高频等效电路

当电阻阻值较大时1MΩ,电容对总体阻抗的影响比较明显,频率越大阻值越小。
当电阻阻值较小时10Ω,电感对总体阻抗的影响比较明显,频率越大阻值越大。
高频中电阻的频率特性

我们可以看到,频率至少达到50MHz,电阻的阻值才发生变化,而且也不会有幅频特性这一说法。

可变电阻都有哪些?
压敏电阻,光敏电阻,可调电阻(变位器),保险电阻(熔断电阻),力敏电阻,热敏电阻。湿敏电阻,气敏电阻,磁敏电阻。
绕线电阻用什么材料制成的?
镍铬合金。
为什么我们越来越多地使用地使用贴片电阻,而非直插元件?
1.体积小,质量小,容易保存和运输。
2.易焊接和拆卸。
3.高频特性好。
4.提高了电路的稳定性和可靠性。
阻容感的值为什么经常是33、47、68这几个数值?
优先数。按R5优先数系100w-160w-250w-400w-630w-1000w这样生产5种。即按公比为1.6的等比数列划分(取每项等比例数列的近似值,理论计算值后面有很多位小数)
5系列:1.00 1.60 2.50 4.00 6.30 10.00
R10系列:1.00 1.25 1.60 2.00 2.50 3.15 4.00 5.00 6.30 8.00 10.00
R20系列:1.00 1.12 1.25 1.40 1.60 1.80 2.00 2.24 2.50 2.80 3.15 3.55 4.00 4.50 5.00 5.60 6.30 7.10 8.00 9.00 10.00
电阻的实际值与标称值的偏差受什么影响?
1.阻值偏差。
2.工作温度影响。
3.电压效应。不同电压作用于电阻两端时,电阻的阻值也会不同。
4.频率效应,中高频受分布电容影响,频率越高阻值会变小;高频受分布电感影响,频率越高阻值越大。
5.时间耗散影响。电阻随工作时间的延长会逐渐老化,电阻阻值逐渐变化(一般是变大)。
6.外加应力。
电阻的故障模式(失效模式)有哪些?
开路和容值改变。
为什么一般电阻怕硫?
影响电阻可靠性的因素有哪些?
为什么电阻的额定功率需要降额使用?
电阻有了额定功率为什么还需要注意最大工作电压?
浪涌是什么?浪涌对电阻有什么影响?
电阻有哪些降额要求?按多少降额?
为什么需要使用0欧姆电阻?
什么是阻抗匹配电路?
什么是RC充放电电路?
什么是上下拉电阻?作用是什么?z
电阻阻值为什么会变大或改变?
此类故障比较常见,由于温度、电压、电路的变化超过限值,使电阻阻值变大或变小,用万用表检查时可发现实际阻值与标称阻值相差很大,一般都是阻值变大。阻值变化的这类故障,只能换新的电阻器才能消除故障。
电阻阻值为什么会变无限大?
以为电阻断路,有时断路故障可用眼睛检查出来,如引线折断、脱落、松动及断裂等;有时则必须用万用表测量,测量时,指针指示无穷大。
3、内部接触不良故障维修
如果家用电子电器有杂音、噪声或者有间断的响声,这类故障多数是由电阻内部接触不良造成,有时电阻工作时还会带有微小的跳火现象。
电位器常因碳膜磨损而接触不良,如果在收音机电路里会使收音机发生音轻、时响时停、杂音大及无音等,在电视机电路里会使电视机无光、无图像或无声等。
4、电位器开关结构损坏故障维修
常见电位器会有一些开关装置,而电位器出现故障多是出现在其开关位置,大多能用眼睛看到,或者能够用万用表查到。有的是关不断或者开不通,开关不起作用;有的是接触不良,通、断不灵敏;有的是开关脱落或者损坏。
为什么叫做电感?
电感是怎么做的?
一般是由导线绕成空芯线圈(电感量小,用于高频电路)或带铁芯的线圈(电感量大,用于)制成,所以电感又称为电感线圈,简称线圈。
电感的特性是什么?
为什么能够“通直流,阻交流,通低频,阻高频”?
很熟悉,却不知从何下手。就像朋友留言中所述,有些很熟悉的知识,理论,当你要写出来,真的很难。这个从侧面也印证了“费曼学习法”的有效性。
因此这篇文章就搁下了,直接跳过第一章,去了第二章关于傅里叶变换的部分。这一周在网络上搜集了很多关于电感的知识去复习,也买了一本关于中学物理的教材,今天拾笔,我们一起来完成这个电感基础,解答上文的那些疑问。
电容这个概念很容易理解,简单来说就是电荷的容量,它的特性我们也很容易去解释:通交流,阻直流。两块金属板没有接触,直流当然过不去了,当频率升高时,电流就成了电磁波,长了翅膀就可以飞过去了。
但是电感到底是什么呢?电感就是电流的感应。电流的感应是什么呢?奥斯特的实验告诉我们,电流周围会产生磁场使小磁针发生旋转。这个磁场就是感应磁场。

那有感应磁场就是电感了吗?No. 只有感应磁场也形成不了电感。但是不要忘记还有一个重要的发现,法拉第电磁感应实验:当磁场在线圈中变化时,会产生感应电流。

下面这幅动图更生动形象的解释了这个现象。

在《麦克斯韦方程组竟然这么简单?!》我们介绍了这项发现的重大意义:发电机、电动机的出现直接引发了第二次工业革命,人类进入了电气时代。

电流生磁,动磁生电,这就是最美的公式“麦克斯韦方程组”最关键的部分,麦克斯韦预测了电磁波的存在,而这项伟大的发现直接改变了我们的生活,带领人类进入无线时代。
而这两种电磁现象也就构成了电感的物理基础,当电流变化时(交流电),产生的感应磁场也随着变化,有感应磁场变化产生感应电流。根据楞次定律,这个感应电流的方向刚好和原电流方向相反,所以也就产生了阻碍电流的效果。

为了更有效地说明这一现象,我们用最常见的螺旋线圈电感作为参考。

当电流在线圈中流动时,根据电生磁的原理,在线圈中会产生磁场,并且磁场向周围蔓延,当线圈中电流变化时,产生的磁场也在变化,相当于线圈在做切割磁场的运动,根据磁生电的原理,这个变化的磁场又会产生感应电流,根据楞次定律,感应电流产生的磁场又会阻碍原电流产生的磁场的变化。
这种阻碍作用就产生了个神奇的效果,电感上的电流不能发生突变,就如同电容上的电压不能发生突变一样。在电感中,电流的变化会滞后于电压变化,如下图所示。滞后多少呢?看那个直角关系,我们就能得到90°,这个滞后值。

上文从感性角度对电感特性进行了描述,那么理论上到底是不是这样子的呢?
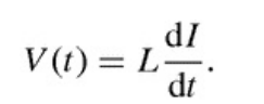
我们先来看看电感的电压方程:

这个电流相位之后90°是从哪里来的呢?根据前面介绍的傅里叶变换,任何一个信号都可以表示成正弦曲线的傅里叶级数形式,简便起见,我们假设电路中电流为:

那么电压就是:

上面公式中的90度,就是为什么电感中电流滞后电压90°的原因。
对电感感觉枯燥难写的另一个原因是电感的单位。我们知道电容的单位法拉F就是为了纪念伟大的法拉第先生,但是电感的单位亨利H,为了纪念谁呢?约瑟夫 亨利 先生,这位被认为是继富兰克林之后美国最伟大科学家,我们大家可能都觉得有些陌生。约瑟夫亨利发明了继电器,比法拉第更早的发现了电磁感应现象,只是没有及时去申请专利,所以电磁感应就让给了法拉第,但是后人却把电感这个最代表电磁感应定律的单位给了亨利。生的早就是这么重要,如果早生个两百年,能不能给小木匠一个电学单位,比如1木电感。
本文来自互联网用户投稿,文章观点仅代表作者本人,不代表本站立场,不承担相关法律责任。如若转载,请注明出处。 如若内容造成侵权/违法违规/事实不符,请点击【内容举报】进行投诉反馈!
