PTA 7-3 叶节点求和
7-3 叶节点求和 (20 分)
对给定的有N个节点(N>=0)的二叉树,求叶节点元素之和。
输入格式:
第一行是一个非负整数N,表示有N个节点
第二行是一个整数k,是树根的元素值
接下来有N-1行,每行是一个新节点,格式为 r d e 三个整数,
r表示该节点的父节点元素值(保证父节点存在);d是方向,0表示该节点为父节点的左儿子,1表示右儿子;e是该节点的元素值。
输出格式:
树中叶节点元素之和 (保证在整型变量范围之内)。
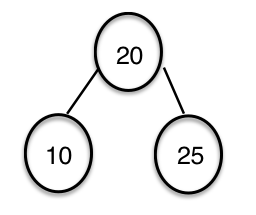
输入样例:

对于图片中的二叉树:
3
20
20 0 10
20 1 25
输出样例:
35
看到网上很多都是c++写的,这里贴一下c语言的写法
#include
#include
/*** 通过输入一个n表示n个节点,输入k表示根元素,接下来有N-1行,每行是一个新节点,格式为 r d e 三个整数,* r表示该节点的父节点元素值(保证父节点存在);d是方向,0表示该节点为父节点的左儿子,1表示右儿子;e是该节点的元素值,然后结
本文来自互联网用户投稿,文章观点仅代表作者本人,不代表本站立场,不承担相关法律责任。如若转载,请注明出处。 如若内容造成侵权/违法违规/事实不符,请点击【内容举报】进行投诉反馈!
