【高等数学】微积分----教你如何简单地推导求导公式(三)
在开头前请一定要记住一个很重要的东西:dx 的增长并没有以下图例所示的那么大,一般是越接近于 0 越好,比如dx =0.0000000001 ,只是为了更加直观地查看到图形的变化,所以以下例子将其放大,很多时候变量 x 增加一丢丢意味着在公式里面可以被忽略。
——————————————下面是正文————————————————
一.f(x) = sin(x) + x^2 的求导
对于该函数的求导,我们可将相加的数值进行分别画图:
f(x) = sin(x) + x^2的函数图像:
我们取其中一小段进行讲解:
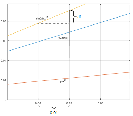
导数的玩法是如果当变量 x 增加一丢丢的时候(专业符号为 dx ),那么 f(x) 将会增加多少呢?(也就是敏感度 df):
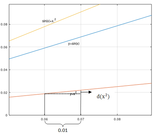
那么实际上增加的部分可以分解为图下:
以及图下:
的总和~所以实际上关于该函数的求导就是两个相加的函数的分别求导~
二.f(x) = sin(x) * x^2 的求导
一看到是相乘的,我们可以首先当成是计算多边形的面积来进行推导:
导数的玩法是如果当变量 x 增加一丢丢的时候(专业符号为 dx ),那么 f(x) 将会增加多少呢?(也就是敏感度 df):
所以,增加的部分为:
所以,可以求出:
根据之前的经验可以得知:d(x^2)*d(sin(x))可以被忽略,所以函数f(x) = sin(x) * x^2的求导可以得出:
本文来自互联网用户投稿,文章观点仅代表作者本人,不代表本站立场,不承担相关法律责任。如若转载,请注明出处。 如若内容造成侵权/违法违规/事实不符,请点击【内容举报】进行投诉反馈!
