融合耦合因子-直接判决法
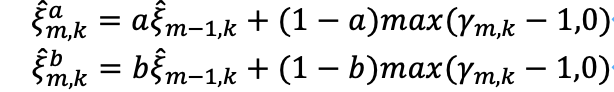
融合耦合因子(Convex Combination,CC)算法为了将DD算法中的取最大值和最小值的优点综合起来,平滑因子取值分别为a和b,其中a>b,则两次DD算法的先验信噪比ξm,ka和ξm,kb
![]()
因此,ξm,ka的取值接近于DD算法中对前一帧的先验SNR的估计值,在无语音区其取值波动较小,降噪中的音乐噪声产生较少,当语音突然出现时,其估计值明显跟不上瞬时信噪比,这就出现了延时的问题;ξm,kb的取值接近于最大似然的方法估计的当前帧的先验信噪比估计,在无语音区取值波动较大,降噪中音乐噪声残留多,但是在语音突然出现时可以较快的跟踪信噪比的变化,因而估计准确。
CC算法就是加入了耦合因子进行折中,以达到在无语音段耦合因子为0,即得到大的平滑因子的值,在语音突变段耦合因子为1,即可得到较小的平滑因子。
![]()
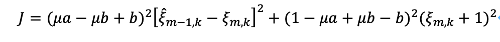
其中,u为耦合因子,范围[0,1],同DD算法中的平滑因子相似,决定这CC算法的最终估计结果更趋向于ξm,ka还是ξm,kb,为了求出真实的u值,在MMSE准则下构建出最终估计结果和预测估计结果之间的代价函数为
![]()
转化得
![]()
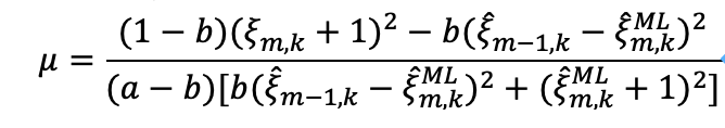
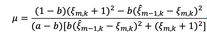
代价函数对耦合因子求导,令∂J∂μ=0得
![]()
其中先验信噪比的真实值ξm,k是未知的,在实际工程中采用最大似然估计ML得到当前帧的先验信噪比估计max(γm,k-1,0)代替真实的先验SNR值ξm,k,则可得如下公式

其中a=0.992,b=0.6。
缺点:存在一个问题,当平滑参数取较小值时,估计结果接近于ML方法估计得到先验信噪比估计ξm,kML=max(γm,k-1,0),即后验信噪比γm,k,此时系统对带噪语音更加敏感,容易产生音乐噪声。
更多文章,关注公众号《音频核》

本文来自互联网用户投稿,文章观点仅代表作者本人,不代表本站立场,不承担相关法律责任。如若转载,请注明出处。 如若内容造成侵权/违法违规/事实不符,请点击【内容举报】进行投诉反馈!
