IEEE论文-基于相位评价的复合材料毫米波层析成像
小刚阅读
Millimeter-Wave Tomographic Imaging of Composite Materials Based on Phase Evaluation——IEEE TRANSACTIONS ON MICROWAVE THEORY AND TECHNIQUES
文章主要提出了一种基于FMCW原理的复合材料层析成像测量系统。而不是使用反射信号的强度,应用发电机叶片复合材料。在雷达图像上,直接对相位信息进行评估。这种新方法利用了相位的较高灵敏度,并允许检测结构中的微弱扰动。随着图像对比度的提高,可以更精确地确定缺陷的位置、形状和类型。由于相位的模糊性条纹提出了一种根据雷达信号进行调整的解包算法.这样就可以充分提高了基于相位的测量的潜力。
1.复合材料的组成:
广泛使用的复合材料有玻璃纤维增强塑料(GFRP)和碳纤维增强塑(CFRP)。
它们分别由玻璃或碳纤维制成,通常嵌入在均匀的环氧树脂基体中。由于碳纤维的导电性,电磁波对CFRP的穿透深度是有限的。因此,本文的工作重点是由GFRP制成的元件,能有效地被毫米波信号穿透。通常用于风力涡轮机的部件,由E-玻璃或较少普通的S-玻璃制成,其纤维直径为9至35μm。
2.雷达理论
FMCW 原理
基本原理如图所示:调频雷达信号通常是线性调频信号,在信号源中产生,然后分裂为雷达信号和参考信号。线性频率调频可以用
频率扫描速率为α=B/T。B是频率调整的带宽(由其起始频率fs与其结束频率fe之间的跨度定义);T是线性调频脉冲持续时间。当雷达信号向目标传播距离R并反射回雷达后,τ=2R/cm的时间延迟。其中cm=c0/Nm它是信号在介质中传播的速度,c0是光在真空中传播的速度,而Nm是介质的折射率。因此,接收到的信号具有以下形式

由于只有信号在被测样品(SUT)中的传播才是样本的层析成像所必需的,忽略了雷达与样本的距离所带来的时间延迟。将接收(2)和参考信号(1)与接收混频器进行比较,其建立两个信号的频率差。所得到的中频(IF)信号具有形式

当差频fb与时延τ成正比,相位分量ϕb与ττ2成正比时,中频信号的差频fb可用于计算距离。检测到的目标

在差频fb处,差频信号的相位可以用

如果目标与雷达的距离在米范围内,fs在毫米波范围内,然后f_s(Rb)/(CT)是有效的,并且(5)可以简化为
与目标距离成正比。由于ϕ∈[−π,π],测量的绝对距离只有相位是不可行的,因为结果是不明确的。但是通过合并基于差频(4)的距离测量结合对差频信号相位的评估,由于相位灵敏度较高,可以提高测量精度。
3.FMCW雷达的多层反射
FMCW原理能够检测由雷达分辨率R分离的多个目标。

它依赖于雷达信号的带宽,并定义了两个相邻目标可区分的最小值。在多目标场景中,在不同距离的K个目标中,考虑到(6)的相位简化,接收到的中频信号可以写成
Rk与第k个目标的距离和第k个目标的复数反射系数。这基本上是所有反射和时间延迟的频率差的总和。在接近等距目标的情况下,像复合材料的层状结构一样,中频信号的相位具有如下形式:

并与目标的间距rk成正比。如图示出了目标距离上多层反射和检测相位的示意图。

介电常数不同的层导致相“S”斜率的变化,其可以通过对相位的评估来检测。
描述这样一个场景:

A扫描相位的比较等距多层结构对同一多层结构具有集成畸变。展开和包裹的阶段显示在上述图表中。在缺陷的范围位置,可以观察到相位s斜率的变化。图的左边底部显示了这样一个多层结构的原理图横截面,以及A扫描的位置。通过组合整个横截面的A扫描,它的B扫描可以产生,并显示在图中的包裹相位,图(右下角)。由于相位只能达到−π和π之间的值,所以B扫描结果类似于条纹图。
4.信号处理
流程图:
这是基于展开每一次A扫描,并将其与参考信号进行比较。该算法的目标是生成SOT断层图像,以检测故障,它们的本土化和形状。如果需要,B扫描,甚至C扫描,可以通过组合单个评估的A-扫描来生成.一般程序可分为两大类。首先,将中频信号转换为范围域;其次,展开相位信息并生成断层图像。
转换成范围域
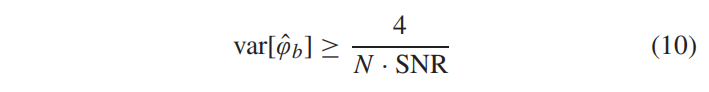
通过应用适当的阈值,可以直接检测缺陷,因为相位信息不再限于在单位和单位之间的范围。相位的不确定性可以从噪声、从变换的频率估计到频域的不确定性、非线性、泄漏或与其它信号的干扰而发生。在单理想正弦信号的假设下,可以用

对于样本长度N1和信噪比(SNR)。这是下Cramér-Rao界,这里描述了具有零均值高斯白噪声的有限正弦波相位估计的极限。这是用来估计评估阶段的准确性。在这些定义的假设下,方差受到高斯噪声和Chirp-Z变换频率估计的限制。更复杂如(10)所示,在高信噪比和大样本长度的情况下,相位误差保持较小。的信号需要更复杂的相位变化估计。单反射的信噪比,纤维-树脂界面不可避免地低,反射系数约为−16 dB。对于GFRP,W波段的衰减约为10 dB/cm.因此,使用大量的样品是有益的,对于实验中的测量,一次A扫描使用12.5 KSA。
在计算信号强度后,对SUT的精确高度进行映射。这是通过跟踪信号强度的主峰值位置来完成的,并作为以后地面参考平面的回变换参考。
展开
相位的展开显示在灰色框内,是基于对不连续性的检测以跳转超过定义阈值的形式并应用相应的偏移量来解包信号。对于理想信号,这个阈值是2π,不过,对于测量到的信号,它可能会降低,这取决于它们的信噪比。在相位展开之后,通过将相位细分为较小的分段来检查展开误差。通过与各分段端点的拟合线性曲线的比较,分析这些单个分段是否超过某一阈值的不连续性。如果曲线超出此范围,则用调整后的阈值重复展开,直到无法检测到不连续为止。一旦这个阶段被打开,每一次测量的表面位置被移动到一个共同的参考平面上。是必要的,因为在接下来的步骤中计算被测相位与参考信号的差值。为了达到计算这一差异的最佳结果,测量信号和参考信号的表面必须在同一位置。由于这种相位差的变化是有意义的,所以在距离域上推导出相位差。

在下一步中计算。最后,利用每个测量的表面位置的映射值来逆转表面的参考平面位移。这将转换检测到的缺陷的位置,表面的形状回到原来的位置并要求生成样品的不失真层析图像。通过结合相邻的A扫描,B型扫描可以产生,同时,通过结合相邻的B-扫描,可以生成该区域的C扫描.这就是如何产生层析雷达图像。
根据样本的质量,可识别的杂波可能出现在所产生的相位图像中。此外,还利用Chirp-Z变换进行相位估计,其他影响也会导致相位不确定。这主要是由多路径反射引起的相位误差var[ ˆϕmulti],线性频率差的非线性 var[ ˆϕN L ]层厚变化引起的相位误差var[ ˆϕR],由于各层的介电常数或其实际厚度的变化。后者可以从(9)派生,从而导致
通过包括层厚的方差var[Rˆk ]。
本文来自互联网用户投稿,文章观点仅代表作者本人,不代表本站立场,不承担相关法律责任。如若转载,请注明出处。 如若内容造成侵权/违法违规/事实不符,请点击【内容举报】进行投诉反馈!
