数字信号处理_使用MATLAB研究零点分布对于单位脉冲响应的影响
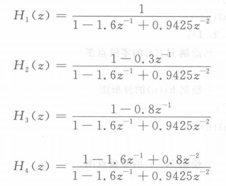
下面四个二阶网络的系统函数具有相同的极点分布:

使用MATLAB研究零点分布对于单位脉冲响应的影响:
①分别画出各系统的零极点分布图;
②分别求出各系统的单位脉冲响应,并画出其波形;
③分析零点分布对于单位脉冲响应的影响。
A=[1,-1.6,0.9425]; %分母多项式,都是相同的
%四个分子多项式
B1=1;
B2=[1,-0.3];
B3=[1,-0.8];
B4=[1,-1.6,0.8];
b1=[1,0,0];
b2=[1,-0.3,0];
b3=[1,-0.8,0];
b4=[1,-1.6,0.8];
p=roots(A) %求极点
%%%求零点
z1=roots(b1)
z2=roots(b2)
z3=roots(b3)
z4=roots(b4)
%%%计算单位脉冲响应的100个样值
[h1n,n]=impz(B1,A,100);
[h2n,n]=impz(B2,A,100);
[h3n,n]=impz(B3,A,100);
[h4n,n]=impz(B4,A,100);
figure(1)
zplane(B1,A); %绘制H1的零极点图
figure(2)
stem(n,h1n,'.'); %绘制h1的波形图
line([0,100],[0,0])
xlabel('n');ylabel('h1(n)');
figure(3)
zplane(B2,A); %绘制H2的零极点图
figure(4)
stem(n,h2n,'.'); %绘制h2的波形图
line([0,100],[0,0])
xlabel('n');ylabel('h2(n)');
figure(5)
zplane(B3,A); %绘制H3的零极点图
figure(6)
stem(n,h3n,'.'); %绘制h3的波形图
line([0,100],[0,0])
xlabel('n');ylabel('h3(n)');
figure(7)
zplane(B4,A); %绘制H4的零极点图
figure(8)
stem(n,h4n,'.'); %绘制h4的波形图
line([0,100],[0,0])
xlabel('n');ylabel('h4(n)');

四种系统函数的极点分布一样,只是零点不同。
第一种零点在原点,不影响系统的频率响应,也不影响单位脉冲响应。

第二种的零点在实轴上,但离极点较远。

第三种的零点靠近极点。

第四种的零点非常靠近极点。

可以发现零点越靠近极点,单位脉冲响应的变化越缓慢,因此零点对极点的作用起抵消作用。(第四种有两个零点,抵消作用更明显)
零点分布对单位脉冲响应的影响取决于零点的位置以及数量。
如果零点分布在低频区域,则单位脉冲响应会有较长的持续时间,并且对低频信号的抑制能力较强。相反,如果零点分布在高频区域,则单位脉冲响应的持续时间会缩短,并且对高频信号的抑制能力较弱。
此外,零点的数量也会影响单位脉冲响应的形态。通常,零点越多,单位脉冲响应就越平稳,抑制能力也越强。因此,设计数字滤波器时,需要考虑零点分布的影响,以获得所需的滤波器性能。
本文来自互联网用户投稿,文章观点仅代表作者本人,不代表本站立场,不承担相关法律责任。如若转载,请注明出处。 如若内容造成侵权/违法违规/事实不符,请点击【内容举报】进行投诉反馈!
