人工神经网络ANN学习笔记(一)
定义:人工神经网络(Artificial Neural Network),它是人脑神经元网络的抽象,是一种运算模型,由大量的节点(或称神经元)相互联接构成。每个节点代表一种特定的输出函数,称为激活函数。每两个节点间的连接都代表一个对于通过该连接信号的加权值,称之为权重。网络的输出则依网络的连接方式,权重值和激励函数的不同而不同。而网络自身通常都是对自然界某种算法或者函数的逼近,也可能是对一种逻辑策略的表达。

注:1.样本有多少个feature,输入层就有多少个节点。
2.根据组合的情况来设定权重,权重要进行初始化。
下面以手写体数字识别为例继续学习ANN
数据集简介:MNIST数据集,60000个样本用于学习,10000个样本用于测试,每一个样本都是28*28点阵图,共784个像素点,每个像素点的值从0-255。 每个样本的784个像素点的值就是feature,每个样本的数字就是label。
从输入到输出的过程叫做前向传播(forward propagation),输入层有784个节点,隐藏层根据需要自己设置,每个节点的输入值乘以对应的权重的和送入激活函数,依此类推。输出可以设置一个节点,输出0-9这十个类别;也可以设置十个节点,输出一种概率分布,比如0.8的概率为“0”,0.1的概率是“6”,0.05的概率是“8”……

当输出值和目标值之间有差距时,就定义了一个损失函数(cost function),将损失返回回去,来寻找一个新的权重的组合,再算一遍输出,使其更接近目标值,这个过程就叫做反向传播(back propagation)。

如何初始化权重向量
1.生成半开区间上的均匀分布
##生成1000个从-1到0区间上的均匀分布
import numpy as npmumber_of_samples = 1000
low = -1
high = 0
s = np.random(low, high, number_of_samples)
2.生成二项式分布
##100次试验,每次成功的概率为0.5
import numpy as nps = np.random.binomial(100, 0.5, 1000)
3.numpy.random.normal不能指定区间值,引入scipy.stats.truncnorm
import numpy as npdef truncated_normal(mean=0, as=1, low=0, upp=10):return truncnorm((low - mean) / sd, (upp - mean) / ad, loc=mean, scale=sd)no_of_input_nodes = 3
no_of_hidden_nodes = 4
rad = 1 / np.sqrt (no_of_input_nodes)X = truncated_normal (mean=2, sd=1, low=-rad, upp=rad)
wih = X.rvs((no_of_hidden_nodes, no_of_input_nodes))
激活函数(activation function)
只能对输入值进行线性处理,引入激活函数就可以进行非线性处理了,这样神经网络就可以应用到众多的非线性模型中。下面是几种激活函数:
1.sigmoid
可以将变量非线性映射到0,1之间,定义为:
它的导数可以用其自身来表示:

2.ReLU (Rectified Linear Unit)

3.Softmax
映射区间[0,1],主要用于离散化概率分布
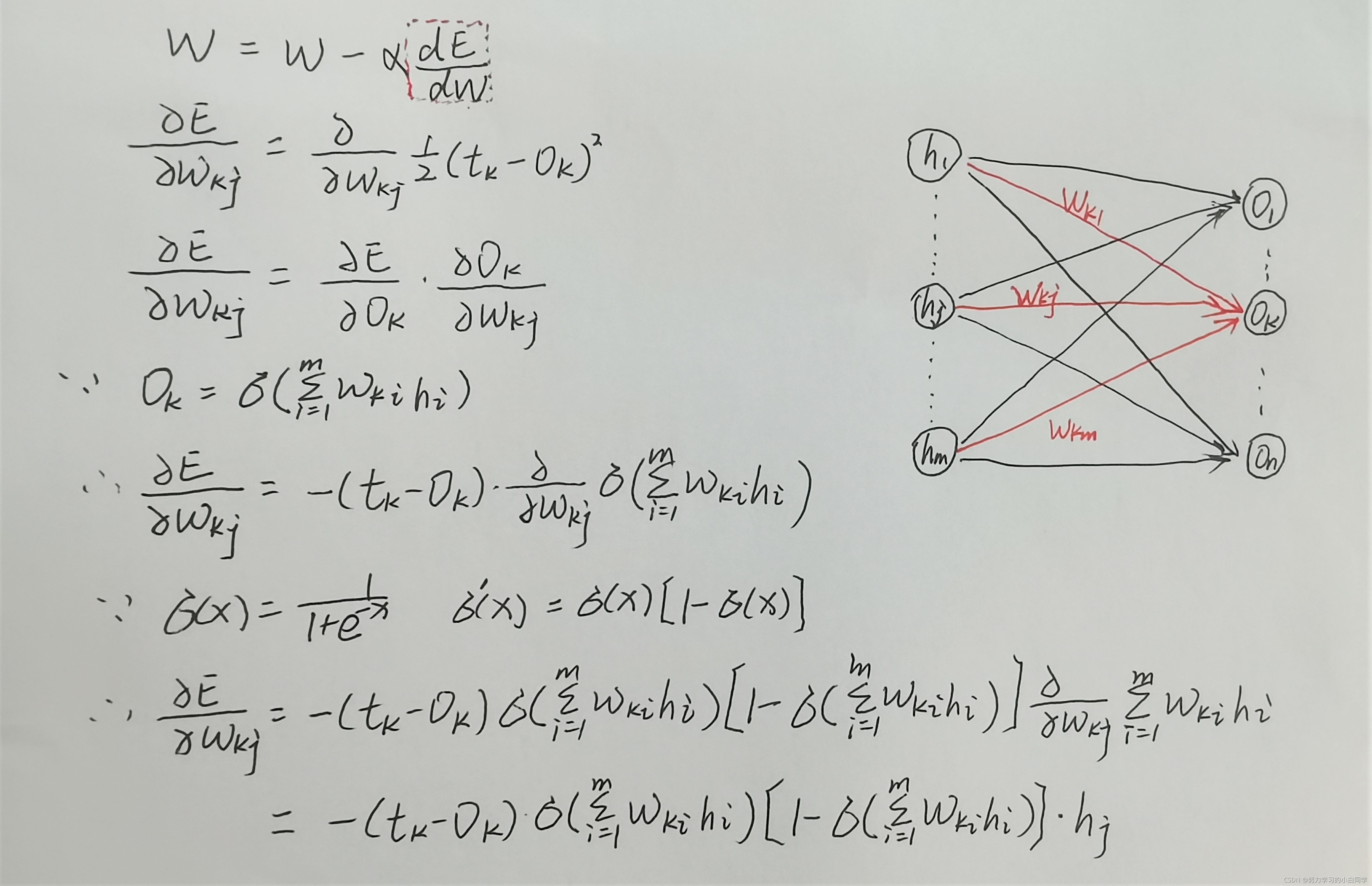
损失函数(以Squared Error Loss为例)
为了优化输出,我们要使用损失函数。设每个节点目标输出为,ANN的实际输出为
,则误差
,下面是推导过程:

如何评价预测模型
混淆矩阵(Confusion Matrix,cm)
准确率(Accuracy) 精确率(Precision) 召回率(Recall)
| predicted | |||
| actual | negative | positive | |
| negative | TN | FP | |
| positive | FN | TP | |
精确率是对于预测结果而言的,简言之,预测为正的结果里有多少是对的。
召回率是对于原来的样本而言的,简言之,原来为正的样本有多少被预测对了。
准确率是对于全部样本而言的,表示所有的样本有多少被准确地预测了。
本文来自互联网用户投稿,文章观点仅代表作者本人,不代表本站立场,不承担相关法律责任。如若转载,请注明出处。 如若内容造成侵权/违法违规/事实不符,请点击【内容举报】进行投诉反馈!
