高斯混合、多元高斯之间的KL散度
文章目录
- 1. 概率密度函数
- 2. 多元高斯分布和标准正态分布的KL散度
- 3. 两个多元高斯分布之间的KL散度
- 4 .两个高斯混合之间的KL散度
- 5. 高斯混合分布和多元高斯分布之间的KL散度
- 附录
1. 概率密度函数

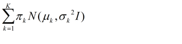
多变量高斯混合分布的概率密度函数为:

2. 多元高斯分布和标准正态分布的KL散度

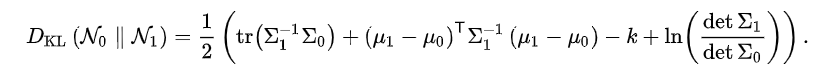
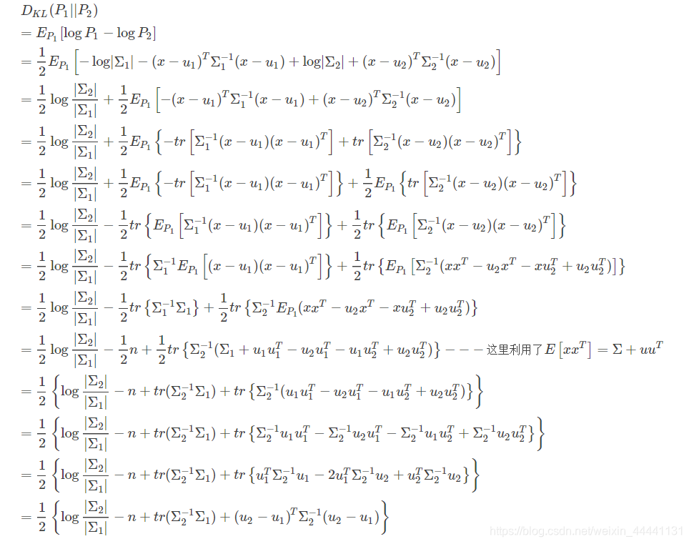
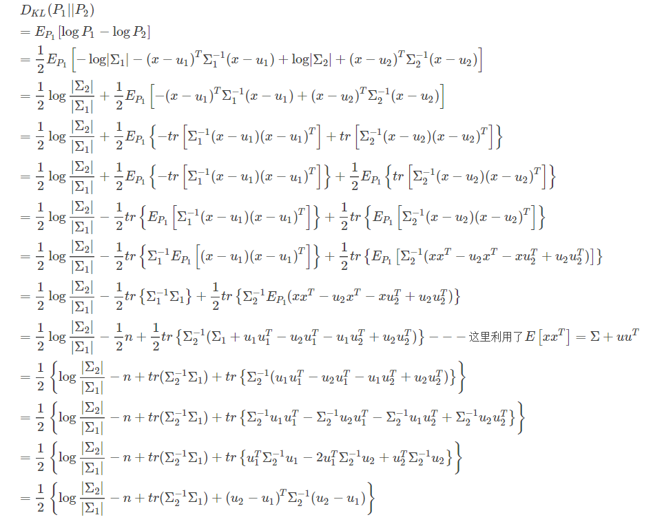
3. 两个多元高斯分布之间的KL散度
- 属于2.的一般情况,k是特征的维度,用tensorflow实现的代码

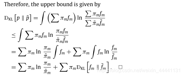
4 .两个高斯混合之间的KL散度


5. 高斯混合分布和多元高斯分布之间的KL散度
- 只需要将多元高斯混合分布扩展为高斯混合分布即可,重复该多元高斯分布。特别地,当多元高斯分布为正太分布时:

- 其中,M表示component的个数,D表示特征的维数。
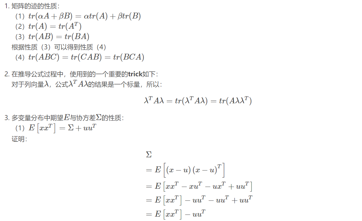
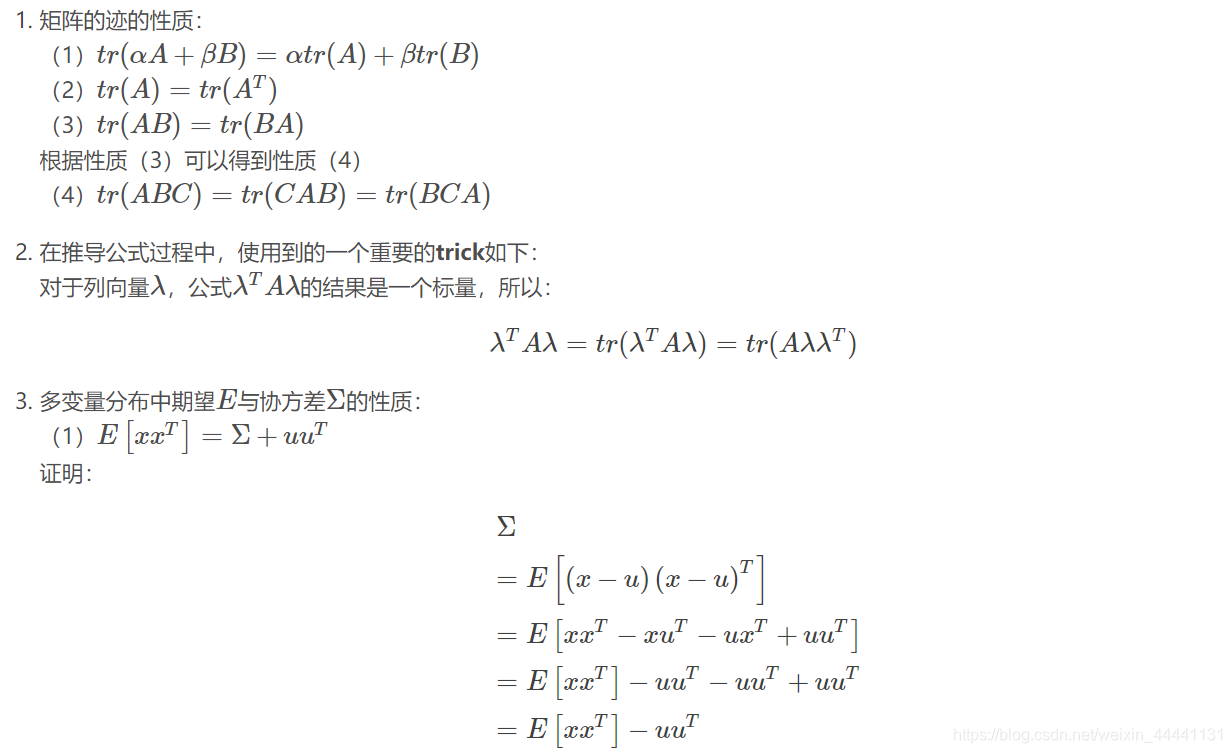
附录




- 你可以将u2=0,Σ2=I带入上式,得出多元高斯和正太分布之间得KL散度。
本文来自互联网用户投稿,文章观点仅代表作者本人,不代表本站立场,不承担相关法律责任。如若转载,请注明出处。 如若内容造成侵权/违法违规/事实不符,请点击【内容举报】进行投诉反馈!
