机器学习 KNN算法
参考B站简博士
一、KNN基本概念
最近邻(k-Nearest Neighbors, KNN)算法是一种分类算法,该算法的思想是:一个样本与数据集中的k个样本最相似,如果这k个样本中的大多数属于某一个类别,则该样本也属于这个类别。
二、距离度量
一般使用欧式距离来衡量两个实例点的相似性。
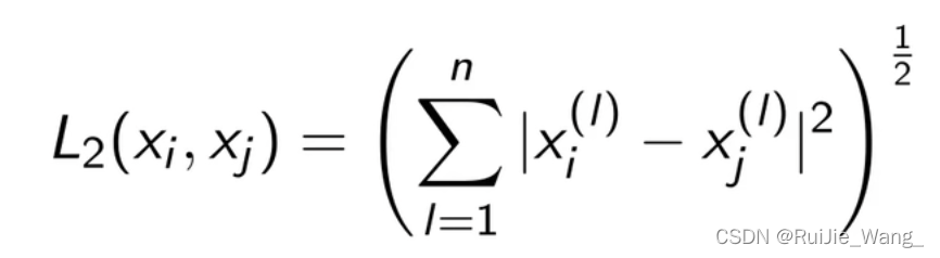
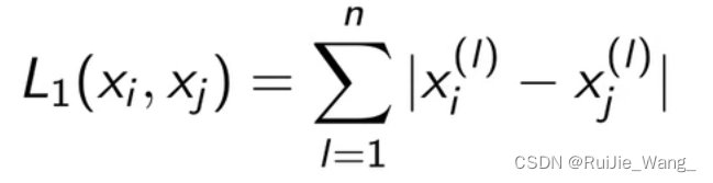
Lp距离: 
欧式距离: 
曼哈顿距离:
切比雪夫距离: 

三、K值选择
如果选择较小的K值,训练误差会减小,但测试误差可能会增大,因为预测结果会对近邻的实例点成分敏感,如果邻近的实例点是噪声,预测就会错。K值减小导致模型变复杂,容易过拟合。
如果选择较大的K值,可以减小测试误差,但模型可能过于简单。
四、分类决策规则
多数表决规则:由输入实例的k个邻近的训练实例中的多数类决定输入实例的类。
五、构造kd树
1.构造kd树:算法
输入:k维空间数据集:![]()
其中,![]()
输出:kd树
(1)开始:构造根节点。
选取第一个特征为坐标轴,以训练集中的所有数据x(1)坐标中的中位数作为切分点,将超矩形区域切割成两个子区域,将该切分点作为根节点。
由根结点生出深度为1的左右子节点,左节点对应坐标小于切分点,右节点对应坐标大于切分点。
(2)重复:
对深度为j的节点,选择x(L)为切分坐标轴,L=j(mod k) + 1, 以该节点区域中所有实例X(L)坐标的中位数作为切分点,将区域分为两个子区域。
生成深度为j + 1的左、右子节点。左节点对应坐标小于切分点,右节点对应坐标大于切分点。
(3)直到两个子区域没有实例时停止。
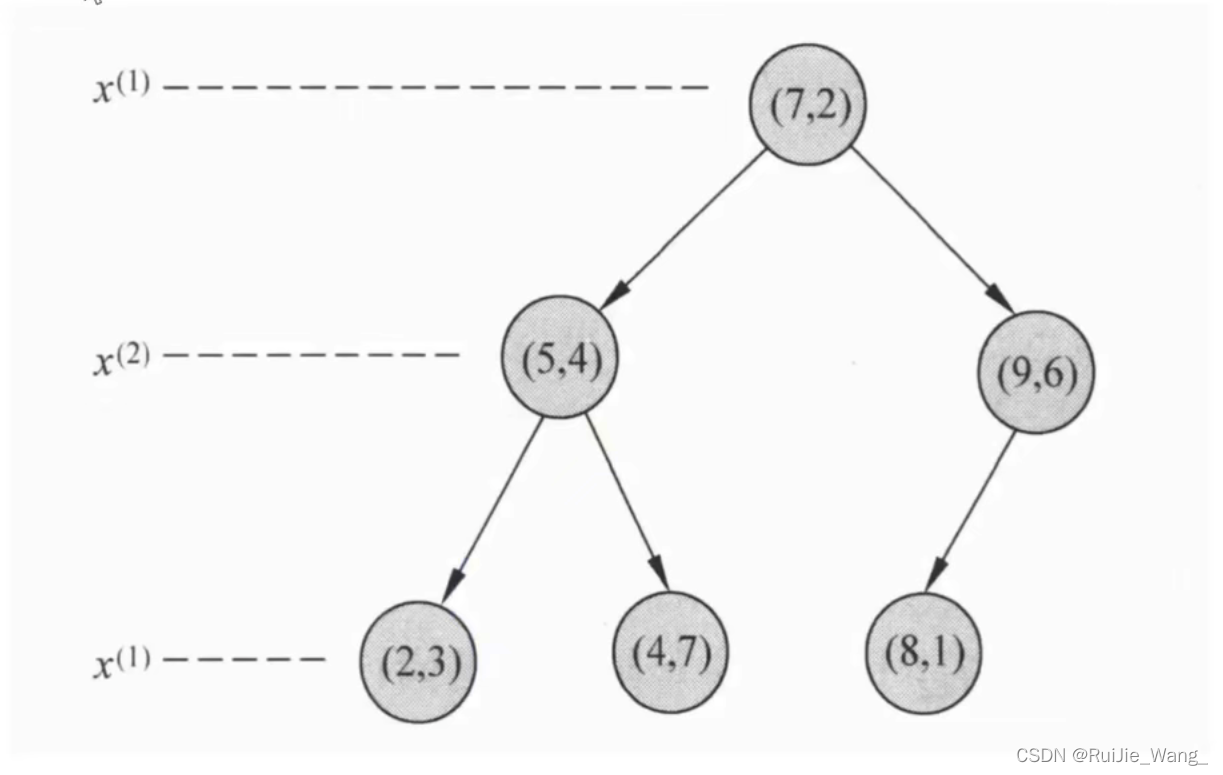
2、例子
输入:训练集:
![]()
输出:kd树

x(1) : 2, 4, 5, 7, 8, 9
开始:选择x(1)为坐标轴,中位数为7,即(7,2)为切分点,切分整个区域。

再次划分区域:
以x(2)为坐标轴,选择中位数,左边区域为4,右边区域为6。因此左边区域切分点为(5,4),右边区域切分点为(9, 6)

划分左边区域:
以x(1)为坐标轴,选择中位数,上边区域为4,下边区域为2。故上边区域切分点为(4, 7), 下边区域切分点为(2,3)

划分右边区域:
以x(1)为坐标轴,选择中位数,上边区域无实例点,下边区域为8。故下边区域划分点坐标为(8,1 )

输入:训练集:
![]()
输出:kd树

六、搜索kd树
1、最近邻搜索:算法
输入:已构造的kd树, 目标点x
输出:x的最近邻
寻找“当前最近点”
-从根节点触发,递归访问kd树,找出包含x的叶节点;
-以此叶节点为“当前最近点”;
回溯
-若该节点比“当前最近点”距离目标点更近,更新“当前最近点”;
-当前最近点一定存在于该节点一个子节点对应的区域,检查子节点的父节点的另一子 节点对应的区域是否有更近的点。
当回退到根节点时,搜索结束,最后的“当前最近点”即为x的最近邻点。
2、例题
输入:kd树(下图所示), 目标点x=(2.1, 4.5);
输出:最近邻点

最近邻点(4,7),第一次回溯,这里的圆圈就是实例点和当前最近邻点的欧式距离作为半径。

回溯的过程就是从子节点到父节点,再到父节点的父节点,在这个过程中,检查这个圆圈里的点和实例点的距离,更新最近邻点为(2, 3)

没有交集了,那么最近邻点就是(2, 3)
本文来自互联网用户投稿,文章观点仅代表作者本人,不代表本站立场,不承担相关法律责任。如若转载,请注明出处。 如若内容造成侵权/违法违规/事实不符,请点击【内容举报】进行投诉反馈!
