OpenCV--040: OTSU二值寻找算法
Otsu最大类间方差法原则
利用阈值将原图像分成前景,背景两个图像。
该算法在灰度直方图的基础上采用最小二乘法原理推导出来的,具有统计意义上的最佳分割。
基本原理:
利用最佳阈值将图像的灰度值分割成两个部分,即背景与目标,使背景和目标之间的方差最大,具有最大的分离性。背景与目标之间的方差越大,说明构成图像的两个部分之间的差别越大,当部分目标被错分为背景或者部分背景被错分成目标,都会导致两部分之间的差别变小,当所取阈值的分割使类间方差最大时就意味着错分概率最小。
Otsu算法是一种自适应阈值确定的方法,计算简单,效率高,但对于光照不均的图像处理效果不是很好。
推导过程:
对一幅大小为M×N的数字图像:
令L表示灰度级数;
n i n_i ni表示灰度级为 i i i的像素数,图像中的像素总数 M N = n 1 + n 2 + n 3 + ⋅ ⋅ ⋅ + n L MN=n_1+n_2+n_3+···+n_L MN=n1+n2+n3+⋅⋅⋅+nL;
p i = n i / M N p_i=n_i/MN pi=ni/MN, p i p_i pi为相对直方图,即灰度级为 i i i出现的概率。则 ∑ i = 1 L p i = 1 \sum_{i=1}^{L}p_i=1 ∑i=1Lpi=1;
设阈值 T ( k ) = k , 1 < k < L T(k)=k,1
-
则被分成 C 1 C_1 C1和 C 2 C_2 C2的概率分别为:
( 1 ) : P 1 ( k ) = ∑ i = 1 k p i (1): P_1(k)=\sum_{i=1}^{k}p_i (1):P1(k)=i=1∑kpi
( 2 ) : P 2 ( k ) = ∑ i = k + 1 L p i = 1 − P 1 ( k ) (2):P_2(k)=\sum_{i=k+1}^{L}p_i=1-P_1(k) (2):P2(k)=i=k+1∑Lpi=1−P1(k) -
则被分到 C 1 C_1 C1和 C 2 C_2 C2像素的灰度均值分别为:
( 3 ) : m 1 ( k ) = ∑ i = 1 k i P ( i / C 1 ) = ∑ i = 1 k i P ( C 1 / i ) P ( i ) / P ( C 1 ) = 1 p 1 ( k ) ∑ i = 1 k i p i (3):m_1(k)=\sum_{i=1}^{k}iP(i/C_1)=\sum_{i=1}^{k}iP(C_1/i)P(i)/P(C_1)=\frac{1}{p_1(k)}\sum_{i=1}^{k}ip_i (3):m1(k)=i=1∑kiP(i/C1)=i=1∑kiP(C1/i)P(i)/P(C1)=p1(k)1i=1∑kipi
( 4 ) : m 2 ( k ) = ∑ i = k + 1 L i P ( i / C 2 ) = 1 p 2 ( k ) ∑ i = k + 1 L i p i (4):m_2(k)=\sum_{i=k+1}^{L}iP(i/C_2)=\frac{1}{p_2(k)}\sum_{i=k+1}^{L}ip_i (4):m2(k)=i=k+1∑LiP(i/C2)=p2(k)1i=k+1∑Lipi -
直至 k k k级的累加均值:
( 5 ) : m ( k ) = ∑ i = 1 k i p i (5):m(k)=\sum_{i=1}^{k}ip_i (5):m(k)=i=1∑kipi -
图像的灰度均值(即全局均值):
( 6 ) : m G = ∑ i = 1 L i p i (6):m_G=\sum_{i=1}{L}ip_i (6):mG=i=1∑Lipi
由(3)和(4)得:
( 7 ) : P 1 m 1 + P 2 m 2 = m G (7):P_1m_1+P_2m_2=m_G (7):P1m1+P2m2=mG
类间方差:
( 8 ) : σ B 2 = P 1 ( m 1 − m G ) 2 + P 2 ( m 2 − m G ) 2 (8):σ_B^2=P_1(m_1-m_G)^2+P_2(m_2-m_G)^2 (8):σB2=P1(m1−mG)2+P2(m2−mG)2
将(7)中的 m G m_G mG代入(8)中,以及由 P 1 + P 2 = 1 P_1+P_2=1 P1+P2=1得:
( 9 ) : σ B 2 = P 1 P 2 ( m 1 − m 2 ) 2 (9):σ^2_B=P_1P_2(m_1−m_2)^2 (9):σB2=P1P2(m1−m2)2
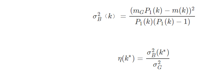
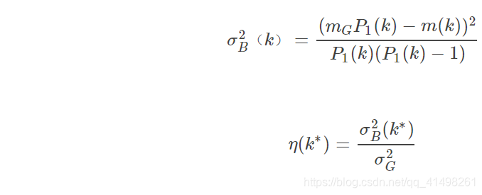
最后由(3)(5)得 m 1 = 1 P 1 m m_1=\frac{1}{P_1}m m1=P11m,由(7)得 m 2 = m G − P 1 m P 2 m_2=\frac{m_G−P_1m}{P_2} m2=P2mG−P1m,以及由 P 1 + P 2 = 1 P_1+P_2=1 P1+P2=1得:
σ B 2 = ( m G P 1 − m ) 2 P 1 ( P 1 − 1 ) σ^2_B=\frac{(m_GP_1−m)^2}{P_1(P_1−1)} σB2=P1(P1−1)(mGP1−m)2
所以要获取类间方差,只需要计算全局均值 m G 、 k m_G、k mG、k级的累加均值 m m m和累加概率 P 1 P_1 P1。
设 σ G 2 σ^2_G σG2代表全局方差, η η η表示可分性度量,表示可分割性:
σ G 2 = ∑ i = 1 L ( i − m G ) 2 p i σ^2_G=∑_{i=1}^{L}(i−m_G)^2p_i σG2=i=1∑L(i−mG)2pi
η = σ B 2 σ G 2 η=\frac{σ^2_B}{σ^2_G} η=σG2σB2
最终的要计算的是:

k ∗ k^∗ k∗是最佳阈值,即 σ B 2 ( k ) σ^2_B(k) σB2(k)为最大值的k值。
算法基本步骤
- 计算输入图像的相对直方图:根据 p i = n i / M N p_i=n_i/MN pi=ni/MN;
- 计算像素被分到 C 1 C_1 C1累计和 P 1 ( k ) P_1(k) P1(k),根据上式(1);
- 计算累计均值m(k),根据上式(5);
- 计算全局灰度均值 m G m_G mG,根据上式(6);
- 计算类间方差 σ B 2 ( k ) σ^2_B(k) σB2(k),根据上式(10);
- 获取最大的 σ B 2 ( k ) σ^2_B(k) σB2(k)中的k值,即为最佳阈值。
- 计算可分性度量 η ∗ η^∗ η∗,根据上式(11) 。
- Matlab实现:
close all;
clear all;
clc;input = imread('R.png');%读图
input = rgb2gray(input);%灰度转换L = 256;%给定灰度级
[ni, li] = imhist(input,L); %ni-各灰度等级出现的次数;li-对应的各灰度等级
% figure,plot(xi,ni);%显示绝对直方图统计
% title('绝对直方图统计')[M,N] = size(input);%获取图像大小
MN = M*N;%像素点总数%%Step1 计算归一化直方图pi = ni/MN; %pi-统计各灰度级出现的概率
figure,plot(li,pi);%显示相对直方图统计
title('相对直方图统计')%%Step2 计算像素被分到C1中的概率P1(k)sum = 0;%用来存储各灰度级概率和
P1 = zeros(L,1);%用来存储累积概率和
for k = 1:Lsum = sum +pi(k,1);P1(k,1) = sum;%累加概率
end%%Step3 计算像素至K级的累积均值m(k)sum1 = 0;%用来存储灰度均值
m = zeros(L,1);%用来存储累计均值
for k = 1:Lsum1 = sum1+k*pi(k,1);m(k,1) = sum1;%累积均值
end%%Step4 计算全局灰度均值mgmg = sum1;%%Step5 计算类间方差sigmaB2
sigmaB2 = zeros(L,1);
for k = 1:Lif(P1(k,1) == 0)sigmaB2(k,1) = 0; %为了防止出现NaNelsesigmaB2(k,1) = ((mg*P1(k,1)-m(k,1))^2)/(P1(k,1)*(1-P1(k,1)));end
end%%Step6 得到最大类间方差以及阈值[MsigmaB2,T] = max(sigmaB2);%获取最大类间方差MsigmaB2,以及所在位置(即阈值)
output = zeros(M,N);%定义二值化输出图像
for i = 1:Mfor j = 1:Nif input(i,j)>Toutput(i,j) = 1;elseoutput(i,j)=0;endend
end
figure,imshow(output);%显示结果%%Step7 可分性度量etasigmaG2 = 0;%全局方差
for k = 1:LsigmaG2 = sigmaG2+(k-mg)^2*pi(k,1);
end
eta = MsigmaB2/sigmaG2;

int main() {Mat src = imread("D:/test/src.jpg",0);int row = src.rows;int col = src.cols;//图像的像素个数int MN = row * col;int thresh = 0;//统计直方图,求每个灰度值的总数Mat calchist;//统计图片的个数int nimages = 1;//通道数量int channels[1] = { 0 };//输出直方图int histSize[1] = { 256 };//每一维数值的取值范围rangesfloat hranges[2] = { 0,255 };//每一维数值的取值范围const float* ranges[1] = { hranges };calcHist(&src, nimages, channels, Mat(), calchist, 1, histSize, ranges);cout << calchist.rows << " " << calchist.cols << endl;//计算每个像素在整幅图像中的比例float pi[256];for (int i = 0; i < calchist.rows; i++) {for (int j = 0; j <calchist.cols ; j++){pi[i] = (float)calchist.at<int>(i,j) / (float)MN;}}//经典ostu算法,得到前景和背景的分割//遍历灰度级[0,255],计算出方差最大的灰度值,为最佳阈值float w0, w1, u0tmp, u1tmp, u0, u1, u, deltaTmp, deltaMax = 0;for (int i = 0; i < 256; i++) {w0 = w1 = u0tmp=u1tmp=u0=u1=u=deltaTmp=0;for (int j = 0; j < 256; j++) {if (j <= i) {//背景部分//以i为阈值分类,第一类总的概率w0 += pi[i];u0tmp += j * pi[j];}else { //前景部分//以i为阈值分类,第二类总的概率w1 += pi[i];u1tmp += j * pi[j];}}u0 = u0tmp / w0;//第一类的平均灰度u1 = u1tmp / w1;//第二类的平均灰度u = u0tmp + u1tmp;//整幅图像的平均灰度//计算类间方差:deltaTmp = w0 * (u0 - u) * (u0 - u) + w1 * (u1 - u) * (u1 - u);//找到最大类间方差以及对应的阈值if (deltaTmp > deltaMax) {deltaMax = deltaTmp;thresh = i;}}/*ThresholdTypes:THRESH_BINARY = 0, //!< \f[\texttt{dst} (x,y) = \fork{\texttt{maxval}}{if \(\texttt{src}(x,y) > \texttt{thresh}\)}{0}{otherwise}\f]THRESH_BINARY_INV = 1, //!< \f[\texttt{dst} (x,y) = \fork{0}{if \(\texttt{src}(x,y) > \texttt{thresh}\)}{\texttt{maxval}}{otherwise}\f]THRESH_TRUNC = 2, //!< \f[\texttt{dst} (x,y) = \fork{\texttt{threshold}}{if \(\texttt{src}(x,y) > \texttt{thresh}\)}{\texttt{src}(x,y)}{otherwise}\f]THRESH_TOZERO = 3, //!< \f[\texttt{dst} (x,y) = \fork{\texttt{src}(x,y)}{if \(\texttt{src}(x,y) > \texttt{thresh}\)}{0}{otherwise}\f]THRESH_TOZERO_INV = 4, //!< \f[\texttt{dst} (x,y) = \fork{0}{if \(\texttt{src}(x,y) > \texttt{thresh}\)}{\texttt{src}(x,y)}{otherwise}\f]*/Mat dst;threshold(src, dst, thresh, 255, 0);imshow("dst", dst);imshow("src", src);waitKey(0);return 0;}


OpenCV中自带OTSU
THRESH_OTSU和前面的type可以组合使用,好处是不用自己指定thresh值,系统会进行计算并且作为返回值返回。
THRESH_OTSU文档上说如果图像黑白分明,就可以用这个,我试了一下,用扫描仪扫描的一个带文字的图像,由于没有光照的差异,算是黑白分明的了,用这个参数得到的结果和自己多次调整thresh得到的最优结果几乎是一样的。
Mat src = imread("D:/test/src.jpg", 0);Mat dst;threshold(src, dst, 0, 255, THRESH_BINARY | THRESH_OTSU);imshow("src", src);imshow("dst", dst);waitKey(0);
学习:
OTSU算法对图像二值化
算法解剖系列-Otsu二值化原理及实现
本文来自互联网用户投稿,文章观点仅代表作者本人,不代表本站立场,不承担相关法律责任。如若转载,请注明出处。 如若内容造成侵权/违法违规/事实不符,请点击【内容举报】进行投诉反馈!
