通信人必须记住的10个定律
▉ No.1 摩尔定律(Moore’s Law)
英特尔(Intel)创始人之一戈登·摩尔(Gordon Moore)提出摩尔定律:当价格不变时,集成电路上可容纳的元器件的数目,约每隔18-24个月便会增加一倍,性能也将提升一倍。
▲戈登·摩尔
摩尔定律的核心内容主要有三个:
一是集成更多的晶体管,每隔两年单芯片集成的晶体管数目翻一番;二是实现更高的性能,每隔两年性能提高一倍;三是实现更低的价格,单个晶体管的价格每隔两年下降一倍。
摩尔定律被称为“半导体行业的传奇定律”,它不仅揭示了信息技术进步的速度,更在接下来的半个世纪中,犹如一只无形大手般推动了整个半导体行业的变革。
▉ No.2 梅特卡夫定律(Metcalfe's law)
1993年,乔治·吉尔德提出梅特卡夫定律:一个网络的价值等于该网络内的节点数的平方,而且该网络的价值与联网的用户数的平方成正比。
该定律表明,一个网络的用户数目越多,那么整个网络和该网络内的每台计算机的价值也就越大。
用公式再来说明一下:
▲网络设备之间可能连接数
网络可能连接数C可以表示为:
C = n(n-1)/2 (1)
网络的经济价值V表示为:
V=C2 (2)
互联性驱动经济价值,这就能明白万物互联对运营商等企业的价值了。
▉ No.3 吉尔德定律(Gilder's Law)
乔治·吉尔德(数字时代三大思想家之一)提出吉尔德定律(又称胜利者浪费定律):最为成功的商业运作模式是价格最低的资源将会被尽可能的消耗,以此来保存最昂贵的资源。
吉尔德定律被描述为:在未来25年,主干网的带宽每6个月增长一倍,其增长速度是摩尔定律预测的 CPU 增长速度的3倍并预言将来上网会免费。
网络速度提升、价格下降,这不就是提速降费的惠民政策吗?
摩尔定律、梅特卡夫定律和吉尔德定律的三大趋势,共同推动着通信网络和信息社会飞速发展。
▉ No.4 库梅定律(Koomey's Law)
2011年,斯坦福大学的教授乔纳森·库梅(Jonathan Koomey)发现了库梅定律:单位运算的电耗量,每一年半就降低一半,从计算机诞生开始,都会持续下去。
21世纪,摩尔定律和库梅定律具有同等重要的地位。
▲库梅定律vs摩尔定律
库梅指出,从1946年第一台电子计算机ENIAC诞生之日算起,相同的计算量所需能耗一降再降。
微软和英特尔曾经联手对ENIAC的峰值功耗进行了计算——每秒运行5000次加法,所需功耗为150千瓦。如今仅仅是ENIAC时期的四万分之一。
▲ENIAC
(占地面积达170平方米,重30吨)
物联网的基础是数据,如何采集世界的数据?
其中一个解决方案是利用库梅定律,建立遍布于世界的传感器网络,和计算机进行连接,建立自动化获得世界信息的范式,更好地收集世界的数据。
我们要建立大思维,正如我们的五官等感官都在收集信息供给我们处理,你的大脑会不断比较,从而建立一个关于世界的图景。
▉ No.5 尼尔森定律(Nielsen's Law)
1998年,嘉卡伯·尼尔森(Jakob Nielsen)提出互联网宽带的尼尔森定律:高端用户带宽将以平均每年50%的增幅增长,每21个月带宽速率将增长一倍。
这也是指数化增长的曲线,这也是为什么现在很多大的电信公司,价格一降再降,但是仍然可以从中获得丰厚利润的主要原因。回顾宽带用户的发展情况其增长趋势很好地与该定律吻合。
▉ No.6 库帕定律(Cooper's Law)
马丁·库帕(Martin Lawrence Cooper)提出库伯定律:无线网络容量每30个月增加一倍。
库帕大哥大的发明者,被称为移动电话之父。
▲马丁·库帕
有人说,“库伯定律”比“摩尔定律”更加经典,更加坚不可摧。
从1897 年吉列尔莫·马可尼( Guglielmo Marconi)用无线电报传递莫尔斯电码,到今天4G通信技术的应用,这个定律都被认为是正确的。
而且更酷的是,无线射频传递过程中的信息量,不同于芯片上的晶体管,它不存在物理空间的极限限制,只要架设更多的线路,更多的带宽,搭建更多的终端,信息传输量就会永无止境地向上递增!
▉ No.7 Edholm带宽定律(Edholm's Law of Bandwidth)
菲尔·埃德霍尔姆(Phil Edholm)提出Edholm带宽定律:
人们对于无线短距离通信的带宽需求基本每隔18个月翻一番。为了满足日益增长的带宽需求,可以采用更先进的调制技术提高频带利用率,或者通过采用多种复用方式来增加信道容量。
▲Edholm带宽定律
在未来,无线网络的传输效率会和有线网络的传输效率逐渐趋同,无线网络和有线网络相互融合,是通信技术发展到一定阶段后必然会有的结果。
▉ No.8 巴特尔定律(Butter's Law)
巴特尔定律:从一根光纤中导出的数据量,每9个月就会翻一倍,这也意味着在光纤网络中,数据传输成本每9个月的时间就会下降一半。
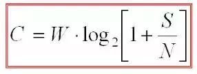
▉ No.9 香农定律(Shannon's Law)
1948年,美国工程师克劳德·香农(Claude Elwood Shannon)提出香农定律:
如果把网络带宽比喻为车道宽度,那么网速就好比汽车在车道上行驶的速度。汽车在车道上行驶得快或者不快,要受限于车道宽度的大小,车道上正有多少辆汽车在行驶等诸多干扰性因素。
▲香农定律的数学公式
克劳德·香农在工程和数学界是一位响当当的人物,在20世纪30-40年代的工作为他赢得了“信息时代之父”( father of the information age )的称号。
▲克劳德·香农
▉ No.10 墨菲定律(Murphy's law)
墨菲定律是一种心理学效应,由爱德华·墨菲(Edward A. Murphy)提出:凡事只要有可能出错,那就一定会出错。
墨菲定律自被提出之日起便被广泛应用于各个行业的安全生产管理中,通信行业也不例外。
举几个扎心的例子:
凡是有可能停电的基站,那就一定会停电;
凡是有可能发生断网的日子,那就一定会断网;
凡是有可能发生安全事故的工程施工,那就一定会发生事故。
“墨菲定律”是我们通信行业的铁律,不要有侥幸心理,请保持敬畏之心。
十大定律,你都记住了吗?
本文来自互联网用户投稿,文章观点仅代表作者本人,不代表本站立场,不承担相关法律责任。如若转载,请注明出处。 如若内容造成侵权/违法违规/事实不符,请点击【内容举报】进行投诉反馈!
