【NLP】因果卷积(causal)与扩展卷积(dilated)
因果卷积:
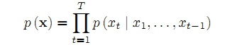
因为要处理序列问题(即要考虑时间问题,)就不能使用普通的CNN卷积,必须使用新的CNN模型,这个就是因果卷积的作用,看下面一个公式,对与序列问题(sequence modeling),主要抽象为,根据x1......xt和y1.....yt-1去预测yt,使得yt接近于实际值。
我们根据图片来看下因果卷积的样子,下面这个图片来自:https://deepmind.com/blog/wavenet-generative-model-raw-audio/
上面的图片可以详细的解释因果卷积,但是问题就来,如果我要考虑很久之前的变量x,那么卷积层数就必须增加。卷积层数的增加就带来:梯度消失,训练复杂,拟合效果不好的问题,为了决绝这个问题,出现了扩展卷积(dilated)。
扩展卷积:
对于因果卷积,存在的一个问题是需要很多层或者很大的filter来增加卷积的感受野。本文中,我们通过大小排列来的扩大卷积来增加感受野。扩大卷积(dilated convolution)是通过跳过部分输入来使filter可以应用于大于filter本身长度的区域。等同于通过增加零来从原始filter中生成更大的filter。
这就可以解决因果卷积带来的问题,在示意图中,卷积感受野扩大了1,2,4,8倍。扩大卷积(dilated convolution)可以使模型在层数不大的情况下有非常大的感受野。
本文来自互联网用户投稿,文章观点仅代表作者本人,不代表本站立场,不承担相关法律责任。如若转载,请注明出处。 如若内容造成侵权/违法违规/事实不符,请点击【内容举报】进行投诉反馈!
