Gram 矩阵与神经网络风格迁移
文章目录
- 作用
- Gram矩阵
- Gram矩阵计算
- Gram矩阵定义
- 协方差矩阵
- Gram矩阵和协方差矩阵
- Gram矩阵意义
- 计算实例
作用
gram矩阵是计算每个通道 I 的feature map与每个通道 J 的feature map的内积。
gram matrix的每个值可以说是代表i通道的feature map与j通道的feature map的互相关程度
神经网络风格迁移中的作用
Gram矩阵来表示图像的风格特征。Gram Matrix的特点:注重风格纹理等特征,忽略空间信息。
C × H × W C\times H \times W C×H×W,C是卷积核的通道数,一般称为有C个卷积核。每一个卷积核输出的HxW代表这张图像的一个 feature map,可以认为是一张特殊的图像——原始彩色图像可以看作RGB三个feature map拼接组合成的特殊feature maps。
-
Gram Matrix的计算采用了
累加的形式,抛弃了空间信息。一张图片的像素随机打乱之后计算得到的Gram Matrix和原图的Gram Matrix一样。所以可以认为Gram Matrix抛弃了元素之间的空间信息。 -
·Gram Matrix的结果与feature maps的尺度无关,
只与通道数有关。无论H、W的大小如何,最后Gram Matrix的形状都是C×C。 -
对于一个CxH×W的feature maps,可以通过调整形状和矩阵乘法快速计算它的Gram Matrix,即先将F调整为Cx(HW)的二维矩阵,然后再计算F.FT,结果就是Gram Matrix。
Gram矩阵
Gram矩阵计算

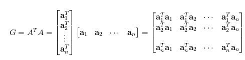
Gram矩阵定义

协方差矩阵

公式简单翻译一下是:如果有XY两个变量,每个时刻的“X值与其均值之差”乘以“V值与其均值之差”得到一个乘积,再对这每时刻的乘积求和并求出均值(其实是求“期望”,但就不引申太多新概念了,简单认为就是求均值了)。
Gram矩阵和协方差矩阵
Gram矩阵和协方差矩阵的差别在于,Gram矩阵没有白化,也就是没有减去均值,直接使用两向量做内积。
Gram矩阵和相关系数矩阵的差别在于,Gram矩阵既没有白化,也没有标准化(也就是除以两个向量的标准差)。
这样,Gram所表达的意义和协方差矩阵相差不大,只是显得比较粗糙。两个向量的协方差表示两向量之间的相似程度,协方差越大越相似。对角线的元素的值越大,表示其所代表的向量或者说特征越重要。
Gram矩阵意义
格拉姆矩阵可以看做feature之间的偏心协方差矩阵(即`没有减去均值的协方差矩阵`),在feature map中,每个数字都来自于一个特定滤波器在特定位置的卷积,因此每个数字代表一个特征的强度,而Gram计算的实际上是两两特征之间的相关性,哪两个特征是同时出现的,哪两个是此消彼长的等等,同时,Gram的对角线元素,还体现了每个特征在图像中出现的量,因此,`Gram有助于把握整个图像的大体风格`。有了表示风格的Gram Matrix,要度量两个图像风格的差异,只需比较他们Gram Matrix的差异即可。总之, 格拉姆矩阵用于度量各个维度自己的特性以及各个维度之间的关系。内积之后得到的多尺度矩阵中,对角线元素提供了不同特征图各自的信息,其余元素提供了不同特征图之间的相关信息。这样一个矩阵,既能体现出有哪些特征,又能体现出不同特征间的紧密程度。
计算实例

G = [ x 1 ′ ∗ x 1 , x 1 ′ ∗ x 2 , x 1 ′ ∗ x 3 ; x 2 ′ ∗ x 1 , x 2 ′ ∗ x 2 , x 2 ′ ∗ x 3 ; x 3 ′ ∗ x 1 , x 3 ′ ∗ x 2 , x 3 ′ ∗ x 3 ] G=[\\ x1'*x1, x1'*x2, x1'*x3; \\ x2'*x1, x2'*x2, x2'*x3; \\ x3'*x1, x3'*x2, x3'*x3] G=[x1′∗x1,x1′∗x2,x1′∗x3;x2′∗x1,x2′∗x2,x2′∗x3;x3′∗x1,x3′∗x2,x3′∗x3]
G [ 0 , 0 ] = x 1 ′ ∗ x 1 = 3 ∗ 3 + 3 ∗ 3 = 18 G[0,0] = x'_1 * x_1 = 3*3 + 3*3 = 18 G[0,0]=x1′∗x1=3∗3+3∗3=18
G [ 0 , 1 ] = x 2 ′ ∗ x 1 = 4 ∗ 3 + 3 ∗ 3 = 21 G[0,1] = x'_2 * x_1 = 4*3 + 3*3 = 21 G[0,1]=x2′∗x1=4∗3+3∗3=21
- 参考文献
Gram矩阵_matlab_wangyang20170901的博客-CSDN博客
https://blog.csdn.net/wangyang20170901/article/details/79037867/
如何通俗易懂地解释「协方差」与「相关系数」的概念? - GRAYLAMB的回答 - 知乎
https://www.zhihu.com/question/20852004/answer/134902061
如何用简单易懂的例子解释格拉姆矩阵/Gram matrix? - 知乎
https://www.zhihu.com/question/49805962
本文来自互联网用户投稿,文章观点仅代表作者本人,不代表本站立场,不承担相关法律责任。如若转载,请注明出处。 如若内容造成侵权/违法违规/事实不符,请点击【内容举报】进行投诉反馈!
