【机器学习】推荐算法(附例题代码)
往期文章
【机器学习】回归分析
【机器学习】Logistic回归
【机器学习】神经网络
【机器学习】支持向量机
【机器学习】主成分分析与聚类分析
文章目录
- 推荐算法
- 问题引入
- 基于内容的推荐算法
- 协同过滤
- 协同过滤算法
- 均值规范化
- python实现
- 代码和例题获取
推荐算法
问题引入
现在有一个预测电影评分的问题,共有5部电影,由4个用户进行评分,评分等级为0~5颗星,其中打?号的表示未看过此电影,不作评价。

先介绍一些符号代表的含义:
n u n_{u} nu:用户数量。
n m n_{m} nm:电影数量。
r ( i , j ) r(i,j) r(i,j):如果等于1,这说明用户 j j j已经给电影 i i i评分,等于0则没有。
y ( i , j ) y^{(i,j)} y(i,j):用户 j j j给电影 i i i的评分,只有当 r ( i , j ) r(i,j) r(i,j)=1时该项才有意义。
推荐系统要做的是根据给出 r ( i , j ) r(i,j) r(i,j)和 y ( i , j ) y^{(i,j)} y(i,j)的数据,然后去查找那些没有被评分的电影,并试图预测这些电影的评价星级。
基于内容的推荐算法
还是上面的例子:
我们知道了 n u n_{u} nu=4, n m n_{m} nm=5,那么怎样才能预测那些未知的值呢?
现在我们有一个关于电影的特征集,分别是 x 1 x_1 x1和 x 2 x_2 x2, x 1 x_1 x1表示该电影为爱情片的程度, x 2 x_2 x2则表示该电影为动作片的程度。

那么每部电影我们都可以得到一个向量 x ( i ) x^{(i)} x(i)。
例如第一步电影的特征可表示为(其中1是偏置项):
x ( 1 ) = [ 1 0.9 0 ] ∈ R n + 1 x^{(1)}=\left[ \begin{matrix} 1 \\ 0.9 \\ 0 \\ \end{matrix} \right] ∈R^{n+1} x(1)=⎣⎡10.90⎦⎤∈Rn+1
那么我们可以把这个问题看成是一个线性回归问题,对于每个用户 j j j,我们都要学习得到一个参数向量 θ ( j ) \theta^{(j)} θ(j),然后预测用户 j j j评价电影 i i i的值,也就是 ( θ ( j ) ) T x ( i ) (\theta^{(j)})^{T}x^{(i)} (θ(j))Tx(i).
参数的学习也和线性回归问题类似。
单个用户参数学习:

多个用户的参数学习:

梯度下降:

协同过滤
如果每部电影的特征没有给出,也就是说一部电影属于爱情片还是动作片的程度未知。

但是已知每个用户的学习参数:

那么我们同样可以推出电影对应的特征。
例如第一部电影,我们只需满足:
( θ ( 1 ) ) T x ( 1 ) ≈ 5 (\theta^{(1)})^Tx^{(1)}≈5 (θ(1))Tx(1)≈5
( θ ( 2 ) ) T x ( 2 ) ≈ 5 (\theta^{(2)})^Tx^{(2)}≈5 (θ(2))Tx(2)≈5
( θ ( 3 ) ) T x ( 3 ) ≈ 0 (\theta^{(3)})^Tx^{(3)}≈0 (θ(3))Tx(3)≈0
( θ ( 4 ) ) T x ( 4 ) ≈ 0 (\theta^{(4)})^Tx^{(4)}≈0 (θ(4))Tx(4)≈0
通过这种方法我们可以得到电影的其他适合的特征。
也就是给定 θ ( 1 ) , . . . , θ ( n u ) \theta^{(1)},...,\theta^{(n_u)} θ(1),...,θ(nu)来学习特征 x ( i ) x^{(i)} x(i):
只学习一部电影的特征:

学习多部电影的特征:

**总结:**系统一开始会随机取一些 θ \theta θ值,有了这些后,我们就可以学习出不同电影的特征 x x x,然后又可以前面的推荐算法来学习出一些更好的参数 θ \theta θ,不断迭代,最终结果会收敛于一组合理的电影特征和用户参数。
协同过滤算法
上面我们讨论的协同过滤步骤如下:
- 给定特征 x ( 1 ) , x ( 2 ) , . . . , x ( m ) x^{(1)},x^{(2)},...,x^{(m)} x(1),x(2),...,x(m),估计参数 θ ( 1 ) , . . . , θ ( n u ) \theta^{(1)},...,\theta^{(n_u)} θ(1),...,θ(nu):

- 利用第一步得到的 θ ( 1 ) , . . . , θ ( n u ) \theta^{(1)},...,\theta^{(n_u)} θ(1),...,θ(nu),估计特征 x ( 1 ) , x ( 2 ) , . . . , x ( m ) x^{(1)},x^{(2)},...,x^{(m)} x(1),x(2),...,x(m)。

我们要做的是不断重复这些计算,不断优化 θ \theta θ和 x x x.
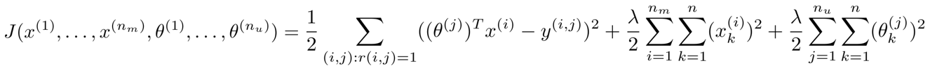
实际上还有一个更有效率的算法,能够将 x x x和 θ \theta θ同时计算出来,因此我们定义这个新的代价函数 J J J是关于特征 x x x和参数 θ \theta θ的函数,其实就是上面两个代价函数的组合:

算法步骤:
- 初始化 x ( 1 ) , x ( 2 ) , . . . , x ( m ) , θ ( 1 ) , . . . , θ ( n u ) x^{(1)},x^{(2)},...,x^{(m)},\theta^{(1)},...,\theta^{(n_u)} x(1),x(2),...,x(m),θ(1),...,θ(nu)为较小的随机数。
- 使用梯度下降最小化代价函数 J ( x ( 1 ) , x ( 2 ) , . . . , x ( m ) , θ ( 1 ) , . . . , θ ( n u ) ) J(x^{(1)},x^{(2)},...,x^{(m)},\theta^{(1)},...,\theta^{(n_u)}) J(x(1),x(2),...,x(m),θ(1),...,θ(nu))。

均值规范化
在实际应用中,我们可能会遇到某个用户从未对电影进行过评分的情况,例如下图的Eve:

而我们相应得到的为0,无法对Eve的偏好进行预测。
θ ( 5 ) = [ 0 0 ] \theta^{(5)}=\left[ \begin{matrix} 0 \\ 0 \\ \end{matrix} \right] θ(5)=[00]
这时我们可以对每部电影的数据进行均值规范化,求出每部电影评分的均值,然后相应地减去这个均值,等到下面数据:

那么当我们对用户 j j j预测其对第 i i i部电影的评分时,还需要重新加上均值 u i u_i ui才能得到预测的分数:
( θ ( i ) ) T ( x ( i ) ) + u i (\theta^{(i)})^T(x^{(i)})+u_i (θ(i))T(x(i))+ui
因此,对于用户Eve,即使 ( θ ( i ) ) T ( x ( i ) ) (\theta^{(i)})^T(x^{(i)}) (θ(i))T(x(i))这一项为0,但加上均值后就不为0了,此时Eve就有一个初始的电影评分,也就是说,当一个新用户注册后,可以先根据大众喜好进行推荐,然后根据后续用户的选择,评分等再慢慢优化参数。
python实现
import numpy as np
import pandas as pd
import matplotlib.pyplot as plt
import seaborn as sb
from scipy.io import loadmat
data = loadmat('E:\happy\ML&DL\My_exercise\ex8-recommender System\data\ex8_movies')
data
Y,R = data.get('Y'),data.get('R')
Y.shape,R.shape
param_mat = loadmat('E:\happy\ML&DL\My_exercise\ex8-recommender System\data\ex8_movieParams')
param_mat
X, theta = param_mat.get('X'),param_mat.get('Theta')
X.shape,theta.shape
#特征个数10
n_features = 10
def serialize(X, theta):return np.concatenate((X.ravel(), theta.ravel()))def deserialize(params, n_movie, n_user, n_features):return params[:n_movie * n_features].reshape(n_movie, n_features), \params[n_movie * n_features:].reshape(n_user, n_features)#代价函数
def cost(params, Y, R, n_features):n_movie, n_user = Y.shapeX, theta = deserialize(params, n_movie, n_user, n_features)#注意这里只需要计算R=1的inner = np.multiply(X @ theta.T - Y, R)return np.power(inner, 2).sum() / 2

#梯度
def gradient(params, Y, R, n_features):n_movie, n_user = Y.shapeX, theta = deserialize(params, n_movie, n_user, n_features)inner = np.multiply(X @ theta.T - Y, R) # (1682, 943)X_grad = inner @ theta #(1682, 10)theta_grad = inner.T @ X #(943, 10)return serialize(X_grad, theta_grad)

#代价函数正规项
def regularized_cost(params, Y, R, n_features, lam=1):reg = np.power(params, 2).sum() * (lam / 2)return cost(params, Y, R, n_features) + reg

#梯度函数正规项
def regularized_gradient(params, Y, R, n_features, lam=1):grad = gradient(params, Y, R, n_features)reg = lam * paramsreturn grad + reg
#测试一下代价函数是否正确
cost(serialize(X, theta), Y, R, n_features)
regularized_cost(serialize(X, theta), Y, R, 10)
#将题目数据中给的电影列出来
movie_idx = {}
f = open('E:\happy\ML&DL\My_exercise\ex8-recommender System\data\movie_ids.txt',encoding= 'gbk')
for line in f:tokens = line.split(' ')tokens[-1] = tokens[-1][:-1]movie_idx[int(tokens[0]) - 1] = ' '.join(tokens[1:])
#接下来可以给自己看过的电影打上分数(1-5分)
ratings = np.zeros((1682, 1))
ratings[0] = 4
ratings[6] = 3
ratings[11] = 5
ratings[53] = 4
ratings[63] = 5
ratings[65] = 3
ratings[68] = 5
ratings[97] = 2
ratings[182] = 4
ratings[225] = 5
ratings[354] = 5
Y,R = data.get('Y'),data.get('R')
#将我们的评分添加到943位用户的评分集中
Y = np.append(Y, ratings, axis=1)
R = np.append(R, ratings != 0, axis=1)
Y.shape, R.shape
初始化 x ( 1 ) , x ( 2 ) , . . . , x ( m ) , θ ( 1 ) , . . . , θ ( n u ) x^{(1)},x^{(2)},...,x^{(m)},\theta^{(1)},...,\theta^{(n_u)} x(1),x(2),...,x(m),θ(1),...,θ(nu)为较小的随机数,同时进行标准化。
n_features = 50
n_movie, n_user = Y.shape
lr = 10 #学习率
X = np.random.standard_normal((n_movie, n_features))
theta = np.random.standard_normal((n_user, n_features))
#归一化
Y_norm = Y - Y.mean()
Y_norm.mean()
模型训练
import scipy.optimize as opt
params = np.concatenate((np.ravel(X), np.ravel(theta)))
res = opt.minimize(fun=regularized_cost,x0=params,args=(Y_norm, R, n_features, lr),method='TNC',jac=regularized_gradient)
res
#训练后的参数
X_trained, theta_trained = deserialize(res.x, n_movie, n_user, n_features)
X_trained.shape, theta_trained.shape
#进行预测
pred = X_trained @ theta_trained.T
final_preds = pred[:, -1] + Y.mean()
final_preds
代码和例题获取
点击文末名片,到公号回复“机器学习”领取,以往的例题代码也一起打包了。
参考资料:
[1] https://www.bilibili.com/video/BV164411b7dx
[2] https://github.com/fengdu78/Coursera-ML-AndrewNg-Notes
本文来自互联网用户投稿,文章观点仅代表作者本人,不代表本站立场,不承担相关法律责任。如若转载,请注明出处。 如若内容造成侵权/违法违规/事实不符,请点击【内容举报】进行投诉反馈!
