信号处理——梅尔滤波器(MFCC)
信号处理——梅尔滤波器(MFCC)
一、概述
在语音识别(Speech Recognition)和话者识别(Speaker Recognition)方面,最常用到的语音特征就是梅尔倒谱系数(Mel-scale FrequencyCepstral Coefficients,简称MFCC)。
梅尔倒谱系数是在Mel标度频率域提取出来的倒谱参数,Mel标度描述了人耳频率的非线性特性,它与频率的关系可用下式近似表示:
Mel(f)=2595∗lg(1+f/700)Mel(f)=2595∗lg(1+f/700)
式中f为频率,单位为Hz。下图为Mel频率与线性频率的关系:

二、基本流程

1. 预加重
预加重处理其实是将语音信号通过一个高通滤波器:

式中的值介于0.9-1.0之间,我们通常取0.97。预加重的目的是提升高频部分,使信号的频谱变得平坦,保持在低频到高频的整个频带中,能用同样的信噪比求频谱。同时,也是为了消除发生过程中声带和嘴唇的效应,来补偿语音信号受到发音系统所抑制的高频部分,也为了突出高频的共振峰。
2. 分帧
先将N个采样点集合成一个观测单位,称为帧。通常情况下N的值为256或512,涵盖的时间约为20~30ms左右。为了避免相邻两帧的变化过大,因此会让两相邻帧之间有一段重叠区域,此重叠区域包含了M个取样点,通常M的值约为N的1/2或1/3。通常语音识别所采用语音信号的采样频率为8KHz或16KHz,以8KHz来说,若帧长度为256个采样点,则对应的时间长度是256/8000 1000=32ms。
3. 加窗
将信号分帧后,我们将每一帧代入窗函数,窗外的值设定为0,其目的是消除各个帧两端可能会造成的信号不连续性(即谱泄露 spectral leakage)。常用的窗函数有方窗、汉明窗和汉宁窗等,根据窗函数的频域特性,常采用汉明窗(hamming window)。
加窗操作:

窗函数(汉明窗):

其中a=0.46,N为每一帧的长度。
4. 傅里叶变换FFT
由于信号在时域上的变换通常很难看出信号的特性,所以通常将它转换为频域上的能量分布来观察,不同的能量分布,就能代表不同语音的特性。所以在乘上汉明窗后,每帧还必须再经过快速傅里叶变换以得到在频谱上的能量分布。对分帧加窗后的各帧信号进行快速傅里叶变换得到各帧的频谱。并对语音信号的频谱取模平方得到语音信号的功率谱。
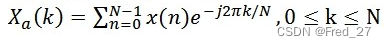
设语音信号的DFT为:

5. 梅尔滤波器组
首先要讲一下什么是梅尔值,这是一个新的量度,相比于正常的频率机制,梅尔值更加接近于人耳的听觉机制,其在低频范围内增长速度很快,但在高频范围内,梅尔值的增长速度很慢。每一个频率值都对应着一个梅尔值,其对应关系如下:

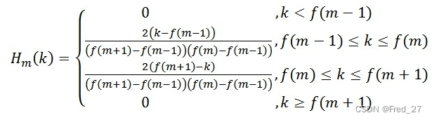
将能量谱通过一组Mel尺度的三角形滤波器组,定义一个有M个滤波器的滤波器组(滤波器的个数和临界带的个数相近),采用的滤波器为三角滤波器。M通常取22-26。各f(m)之间的间隔随着m值的减小而缩小,随着m值的增大而增宽,如图所示:

三角滤波器的频率响应定义为:

三角带通滤波器有两个主要目的:
- 对频谱进行平滑化,并消除谐波的作用,突显原先语音的共振峰。(因此一段语音的音调或音高,是不会呈现在MFCC 参数内,换句话说,以MFCC 为特征的语音辨识系统,并不会受到输入语音的音调不同而有所影响)
- 降低运算量。
6. 对数运算
计算每个滤波器组输出的对数能量为:

7. 离散余弦变换
经离散余弦变换(DCT)得到MFCC系数:

将上述的对数能量带入离散余弦变换,求出L阶的Mel-scale Cepstrum参数。L阶指MFCC系数阶数,通常取12-16。这里M是三角滤波器个数。
8. 动态差分参数提取
标准的倒谱参数MFCC只反映了语音参数的静态特性,语音的动态特性可以用这些静态特征的差分谱来描述。实验证明:把动、静态特征结合起来才能有效提高系统的识别性能。差分参数的计算可以采用下面的公式:

式中,dt表示第t个一阶差分;Ct表示第t个倒谱系数;Q表示倒谱系数的阶数;K表示一阶导数的时间差,可取1或2。将上式中结果再代入就可以得到二阶差分的参数。
总结
因此,MFCC的全部组成其实是由:
N维MFCC参数(N/3MFCC系数+ N/3一阶差分参数+ N/3二阶差分参数)+帧能量(此项可根据需求替换)
本文来自互联网用户投稿,文章观点仅代表作者本人,不代表本站立场,不承担相关法律责任。如若转载,请注明出处。 如若内容造成侵权/违法违规/事实不符,请点击【内容举报】进行投诉反馈!
