【概率论与数理统计】二维随机变量:分布函数(联合分布函数、边缘分布函数)、联合概率密度、边缘概率密度、联合分布律、边缘分布律
直观理解:
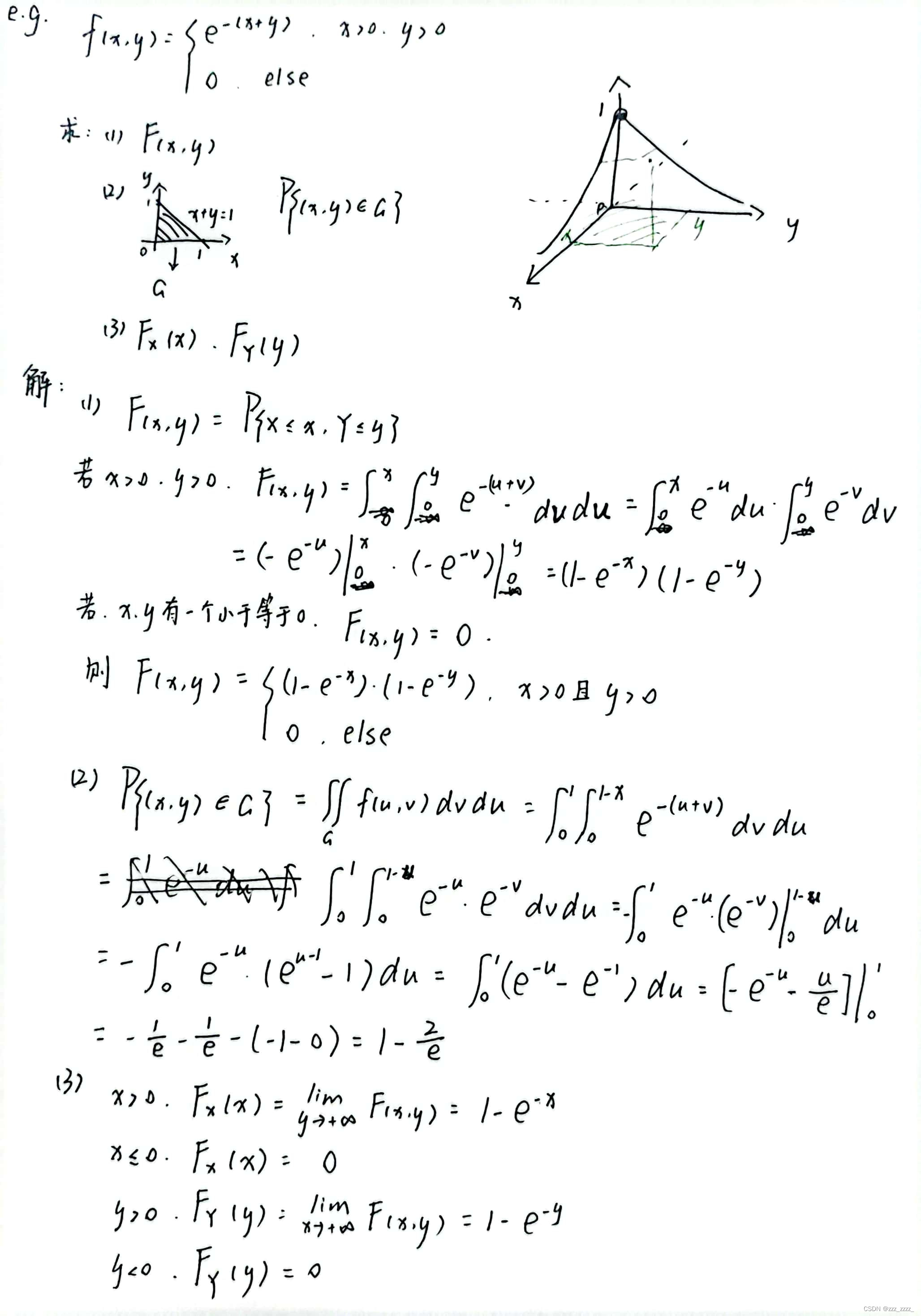
联合概率密度 草帽/山峰
边缘概率密度 切一刀的山峰切面
联合分布函数 切两刀山峰体
边缘分布函数 切一刀山峰体
联合分布律 和 边缘分布律 针对离散型随机变量
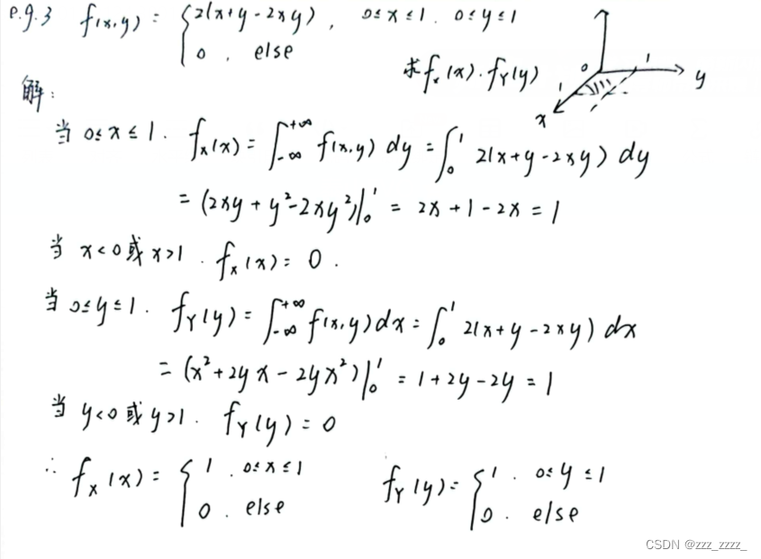
二维随机变量

联合分布函数(切两刀山峰体)

边缘分布函数 (切一刀山峰体)

【连续型随机变量】联合概率密度函数(草帽/山峰)


【连续型】边缘概率密度函数 (切一刀的山峰切面)


【离散型】联合分布律、联合分布表、边缘分布律、边缘分布表

这部分概念比较多,可看:
【概率论与数理统计】一个视频让你明白分布函数,概率密度函数,分布律,联合概率密度,联合分布函数,联合分布律,边缘概率密度,边缘分布函数都是什么意义和概念_哔哩哔哩_bilibili
本文来自互联网用户投稿,文章观点仅代表作者本人,不代表本站立场,不承担相关法律责任。如若转载,请注明出处。 如若内容造成侵权/违法违规/事实不符,请点击【内容举报】进行投诉反馈!
