[博弈论]初探(巴什、威佐夫、尼姆、斐波那契)
文章目录
- 一、巴什博弈(Bash Game)
- 引例,最古老的一个游戏:
- 分析
- 归纳
- 巴什博弈(一般化)
- 问题描述
- 代码示例
- 二、威佐夫博弈(Wythoff Game)
- 问题描述
- 解题结论
- 代码示例
- 三、尼姆博弈 (Nimm Game)
- 问题描述
- 解题结论
- 代码示例
- 四、斐波那契博弈
- 问题描述
- 解题结论
- 代码示例
- 总结
借鉴了大佬的资料:
博弈论.
一、巴什博弈(Bash Game)
引例,最古老的一个游戏:
A和B一块报数,每人每次报最少1个,最多报4个,看谁先报到30(第30个数)。
分析
第一次报数,A报出数的个数是 x ,那么 B报数 5-x 个,接着现在问题变成了下面这个样子:
A 和 B 一块报数,看谁先报到第25个
然后问题逐渐简化,规模缩小:20、15、10、5。最后问题是看谁先报到 5,这时无论 A 怎么报数,最后一个数一定是 B 报出来的,所以 B 必胜。从这里的分析可以得到:
作为后手的 B 在这次游戏中是不会输的。
归纳
如果我们要报 n 个数,每次最少报 1 个,最多报 m 个,可以找出这么一个整数 k 和 r ,使得 n = k * (m+1) + r,代入引例中可知,如果 r = 0 ,那么先手必败,否则,先手必胜(这里我还不太会证明。。。)。
巴什博弈(一般化)
问题描述
只有一堆 n 个物品,两个人轮流从中取物,规定每次最少取 1 个,最多取 m 个,最后取光者为胜
代码示例
#include
using namespace std;
int main()
{int n, m;while (cin >> n >> m){if (n % (m + 1) == 0){cout << "后手必胜" << endl;//先手必败}else{cout << "先手必胜" << endl;}}return 0;
}
二、威佐夫博弈(Wythoff Game)
问题描述
有两堆各若干的物品,两人轮流从其中一堆取至少 1 件物品,至多不限,或从两堆中同时取相同件物品,规定最后取完者胜利。
解题结论
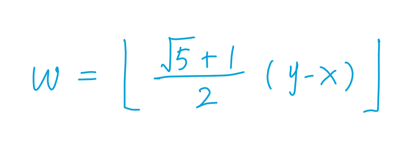
若两堆物品数量的初始值是 (x, y),且 x < y,则令 z = y - x;
设 *w=(int)[((sqrt(5)+1)/2)z ];
(下图是人话)

若 w = x,先手必败,否则后手必败;
代码示例
#include
#include
using namespace std;int main()
{int n1, n2, temp;while (cin >> n1 >> n2){if (n1 > n2) //保证 n1 <= n2{swap(n1, n2);}temp = floor((n2 - n1) * (sqrt(5.0) + 1) / 2.0);if (temp == n1){cout << "后手必胜" << endl;}else{cout << "先手必胜" << endl;}}return 0;
}
三、尼姆博弈 (Nimm Game)
问题描述
有任意堆物品,每堆物品的个数是任意的,两个人轮流从中取物品,每一次只能从一堆物品中取部分或全部物品,最少取 1 件,取到最后一件物品的人获胜。
解题结论
把每堆物品数全部异或起来,如果得到的值为 0 ,那么先手必败(后手必胜),否则先手必胜。
代码示例
#include
#include
using namespace std;
int main()
{int i, n, ans, temp;// n 堆物品while (cin >> n){temp = 0;for ( i = 1; i <= n; i++){cin >> ans;temp ^= ans; //我们把每一堆的物品数给异或起来}if (temp == 0){cout << "后手必胜" << endl;}else{cout << "先手必胜" << endl;}}return 0;
}
四、斐波那契博弈
问题描述
有一堆物品,两人轮流取物品,先手最少取一个,至多无上限,但是不能把物品取完,之后每次取得物品数不能超过上一次取的物品数的 2 倍且至少为 1 件,取走最后 1 件物品的人获胜。
解题结论
当且仅当 n 是斐波那契数(n 为物品总数)时,先手必败。
代码示例
#include
#include
using namespace std;
#define N 55
int f[N] = {}; //斐波那契数列void Init();int main()
{bool flag = false; // true : 先手必败,flase : 后手必败int n, i;Init();while (cin >> n){if (n == 0)//不用玩了{break;}flag = false;for ( i = 0; i < N; i++) //判断是否是斐波那契数,只好一个一个试{if (n == f[i]){flag = true;//先手必败break;}}if (flag){cout << "后手必胜" << endl;}else{cout << "先手必胜" << endl;}}return 0;
}void Init()
{int i;f[0] = 1;f[1] = 1;for ( i = 2; i < N; i++){f[i] = f[i - 1] + f[i - 2];}
}
总结
可以注意到以上所有博弈问题
1、获胜条件都是取到最后一件物品;
2、如果结果满足对应条件,先手必败;
本文来自互联网用户投稿,文章观点仅代表作者本人,不代表本站立场,不承担相关法律责任。如若转载,请注明出处。 如若内容造成侵权/违法违规/事实不符,请点击【内容举报】进行投诉反馈!
